Top.Mail.Ru
kemerovo@dia-m.ru 8 (800) 234-05-08
+7 (923) 158-67-53
Ваш регион Москва?
Химические реактивы - буква «»

Электрофорез нуклеиновых кислот

Электрофорез — один из важнейших методов в молекулярной биологии, применяемый для аналитического и препаративного разделения фрагментов ДНК или РНК в зависимости от их длины. Метод основан на различной подвижности молекул в агарозном или полиакриламидном геле под действием электрического поля. Как правило, для электрофореза нуклеиновых кислот используется агарозный гель. Диаэм предлагает широкий выбор агароз для различных экспериментальных задач, а также маркеры длин ДНК, буферные растворы и другие реагенты для электрофореза, красители для визуализации нуклеиновых кислот в геле и оборудование для горизонтального, препаративного и пульс-электрофореза нуклеиновых кислот.
Каталоги, статьи, видео
Фильтр
Все производители
Все категории
Фильтр
Доступность
  • На складе
  • В транзите
  • В транзите и на складе
  • Все товары
16500500
500 г
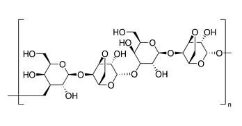
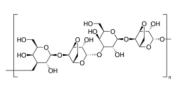
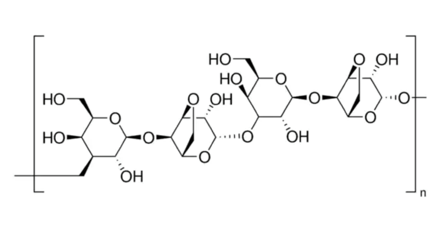
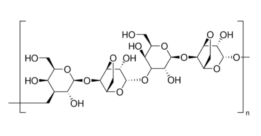
Ультрачистая агароза UltraPure используется для аналитического и препаративного разделения нуклеиновых кислот в агарозном геле с помощью метода электрофореза.

Особенности агарозы UltraPure

Агарозы UltraPure имеет следующие особенности:

  • мягкая, гибкая, лёгкая, компактная упаковка;
  • протестирована на соответствие требованиям для гель-электрофореза;
  • может быть использована для электрофореза белков;
  • формирует плотные, гомогенные гели.
  • диапазон разделения РНК и ДНК фрагментов от 100 до 30000 п.о.

Условия хранения и перевозки — при температуре от 15 до 30°C.
diaGene, Россия
Агароза, высокий EEO, D1, (аналог арт. 911010.10 gm, CDH)
1928.0025
25 г
1928.0100
100 г
1928.0500
500 г
52 183 руб.
540,= EUR
1928.1000
1 кг


Содержание ДНКаз/ РНКаз/протеаз не обнаружено
Электроэндоосмос, ЕЕО 0,23 - 0,26
Точка плавления 1,5 % геля, °C 88 ± 1,5
Температура гелеобразования 1,5 % геля, °C 36 ± 1,5
Влажность, % не более 7
Зола, % не более 1,0
Сульфаты, % 0,2
Прочность геля 1 %, г/см² не менее 750
Прозрачность 1,5%, NTU не более 4
Условия хранения при комнатной температуре

Индекс риска

R10Огнеопасно
R36/37/38Раздражает глаза, органы дыхания и кожу
Индекс риска (R)
10-36/37/38

Индекс безопасности

S16Хранить вдали от источников возгорания — Не курить
S26В случае попадания в глаза немедленно промыть глаза большим количеством воды и обратиться за медицинской помощью
S36Наденьте соответствующую защитную одежду
Индекс безопасности (S)
16-26-36
CDH, Индия
Агароза, высокий EEO, для молекулярной биологии, (аналоги: арт. 1928.0025, арт. 1928.0100, арт. 1928.0500, diaGene)
911010.10gm
10 г
2 076 руб.
25,= USD
911010.25gm
25 г
4 469 руб.
54,= USD
911010.100 gm
100 г
17 297 руб.
210,= USD
911010.500 gm
500 г
48 925 руб.
594,= USD

Агароза с высоким EEO подходит для разделения белков методами иммунодиффузии и противоточного иммуноэлектрофореза.

Характеристики

  • Электроэндоосмос, EEO — 0,25- 0,30;
  • температура полимеризации (1.5% геля), °C — 36+1,5;
  • влажность, % — 10;
  • зола, % — 1;
  • сульфаты, % — 0,3;
  • белый порошок;
  • прочность 1,5% геля, г/см — 800;
  • не содержит ДНКазы, РНКазы, протеазы.
R0801
25 г
76 321 руб.
76 321 руб. RUB

Агароза TopVision - легкоплавкая агароза, предназначенная для препаративного разделения фрагментов нуклеиновых кислот методом электрофореза, а также для постановки ферментативных реакций в геле.

Оптимальная концентрация - 0.7 - 2%

Имеет сертификат GQ (genetic quality), что означает пригодность очищенных с её помощью нуклеиновых кислот для молекулярно-биологических экспериментов.

Не содержит ДНКаз и РНКаз.

Не связывает ДНК и РНК.

Пригодна для анализа РНК.

Формирует прозрачный гель.

Области применения:

  • аналитический электрофорез нуклеиновых кислот

  • препаративный электрофорез

  • ферментативные реакции в геле

Условия хранения: комнатная температура.

diaGene, Россия
Агароза, низкий EEO, D1
1929.0025
25 г
3 476 руб.
36,= EUR
1929.0100
100 г
13 854 руб.
143,= EUR
1929.0500
500 г
52 591 руб.
545,= EUR
1929.1000
1 кг
89 390 руб.
926,= EUR

Для разделения фрагментов НК более 1000 п.н.; для аналитического и препаративного электрофореза НК, блоттинга, радиальной иммунодиффузии


Скачать:
Агароза D1, техническая инструкция, англ., 1 стр., 95 kB


См. также:
Таблица выбора агарозы в зависимости от размеров целевых фрагментов.



Содержание ДНКаз/ РНКаз/протеаз не обнаружено
Электроэндоосмос ЕЕО 0,05 - 0,13
Точка плавления 1,5 % геля, °C 85 ± 5
Температура гелеобразования 1,5 % геля, °C 35 ± 3
Влажность, % не более 0,4
Сульфаты, % 0,1
Прочность геля 1 %, г/см² не менее 1200
Прозрачность 1,5%, NTU не более 3
Условия хранения при комнатной температуре

Индекс риска

R10Огнеопасно
R36/37/38Раздражает глаза, органы дыхания и кожу
Индекс риска (R)
10-36/37/38

Индекс безопасности

S16Хранить вдали от источников возгорания — Не курить
S26В случае попадания в глаза немедленно промыть глаза большим количеством воды и обратиться за медицинской помощью
S36Наденьте соответствующую защитную одежду
Индекс безопасности (S)
16-26-36
diaGene, Россия
Агароза, низкий EEO, D1, GQT, Genetic Quality Tested
1932.0025
25 г
4 345 руб.
45,= EUR
1932.0100
100 г
1932.0500
500 г
54 371 руб.
563,= EUR
1932.1000
1 кг
Для разделения фрагментов НК более 1000 п.н.; для аналитического и препаративного электрофореза НК, блоттинга. Genetic Quality Tested – тестирована на проведение препаративного электрофореза и восстановление ДНК без повреждения структуры и свойств.


Скачать:
Агароза D1, техническая инструкция, англ., 1 стр., 95 kB



См. также:
Таблица выбора агарозы в зависимости от размеров целевых фрагментов.




Содержание ДНКаз/ РНКаз/протеаз не обнаружено
Электроэндоосмос, ЕЕО 0,05 - 0,13
Точка плавления 1,5 % геля, °C 88 ± 1,5
Температура гелеобразования 1,5 % геля, °C 36 ± 1,5
Влажность, % не более 7
Зола, % не более 0,4
Сульфаты, % 0,1
Прочность геля 1 %, г/см² не менее 1200
Прозрачность 1,5%, NTU не более 3
Условия хранения при комнатной температуре

Индекс риска

R10Огнеопасно
R36/37/38Раздражает глаза, органы дыхания и кожу
Индекс риска (R)
10-36/37/38

Индекс безопасности

S16Хранить вдали от источников возгорания — Не курить
S26В случае попадания в глаза немедленно промыть глаза большим количеством воды и обратиться за медицинской помощью
S36Наденьте соответствующую защитную одежду
Индекс безопасности (S)
16-26-36
diaGene, Россия
Агароза, низкий EEO, D5, повышенная прочность геля
1950.0025
25 г
5 986 руб.
62,= EUR
1950.0100
100 г
21 725 руб.
225,= EUR
1950.0250
250 г
37 753 руб.
391,= EUR
1950.0500
500 г
65 657 руб.
680,= EUR

Для разделения фрагментов НК более 1000 п.н.; для электрофореза НК , блоттинга, пульс-гель электрофореза. Повышенная прочность геля позволяет готовить гель низкой концентрации (0,3%) для разделения высокомолекулярных НК, а также больших частиц, как вирусы и рибосомы. Высокая электрофоретическая подвижность; широкий диапазон концентраций геля.

Скачать:
Агароза D5, техническая инструкция, англ., 1 стр., 137 kB


См. также:
Таблица выбора агарозы в зависимости от размеров целевых фрагментов.




Содержание ДНКаз/ РНКаз/протеаз не обнаружено
Электроэндоосмос, ЕЕО не более 0,12
Точка плавления 1,5 % геля, °C 88 ± 1,5
Температура гелеобразования 1,5 % геля, °C 36 ± 1,5
Влажность, % не более 7
Зола, % не более 0,25
Сульфаты, % 0,12
Прочность геля 1 %, г/см² не менее 1800
Прозрачность 1,5%, NTU не более 4
Условия хранения при комнатной температуре

Индекс риска

R10Огнеопасно
R36/37/38Раздражает глаза, органы дыхания и кожу
Индекс риска (R)
10-36/37/38

Индекс безопасности

S16Хранить вдали от источников возгорания — Не курить
S26В случае попадания в глаза немедленно промыть глаза большим количеством воды и обратиться за медицинской помощью
S36Наденьте соответствующую защитную одежду
Индекс безопасности (S)
16-26-36
diaGene, Россия
Агароза, низкий EEO, E, для рутинного электрофореза
1927.0025
25 г
3 090 руб.
32,= EUR
1927.0100
100 г
10 730 руб.
111,= EUR
1927.0500
500 г
40 553 руб.
420,= EUR
1927.1000
1 кг
69 139 руб.
716,= EUR
1927.25000
25 кг
1 314 207 руб.
13 611,= EUR
Для разделения фрагментов НК от 250 п.н. до 23 тыс.п.н.; для аналитического и препаративного электрофореза НК, разделения плазмид для клонирования, блоттинга, радиальной иммунодиффузии. Оптимальная концентрация геля 0,75-2,0 %.

Скачать:
Агароза E, техническая инструкция, англ., 1 стр., 442 kB

См. также:
Таблица выбора агарозы в зависимости от размеров целевых фрагментов.


Содержание ДНКаз/ РНКаз/протеаз не обнаружено
Точка плавления 1,5 % геля, °C 88 ± 1,5
Температура гелеобразования 1,5 % геля, °C 36 ± 1,5
Влажность, % не более 7
Зола, % не более 0,45
Сульфаты, % 0,1
Прочность геля 1 %, г/см² не менее 1000
Прозрачность 1,5%, NTU не более 4
Условия хранения при комнатной температуре

Индекс риска

R10Огнеопасно
R36/37/38Раздражает глаза, органы дыхания и кожу
Индекс риска (R)
10-36/37/38

Индекс безопасности

S16Хранить вдали от источников возгорания — Не курить
S26В случае попадания в глаза немедленно промыть глаза большим количеством воды и обратиться за медицинской помощью
S36Наденьте соответствующую защитную одежду
Индекс безопасности (S)
16-26-36
diaGene, Россия
Агароза, низкий EEO, FP DNA, для ДНК-фингерпринтирования
1951.0100
100 г
1951.0250
250 г
1951.0500
500 г
Для разделения фрагментов НК более 1000 п.н.; для электрофореза НК , блоттинга, ДНК-фингерпринтирования. Не размывается, фрагменты при разделении четкие; нет различия по качеству между партиями.


Скачать:
Агарозы D2 и FP DNA, техническая инструкция, англ., 1 стр., 69 kB

См. также:
Таблица выбора агарозы в зависимости от размеров целевых фрагментов.



Содержание ДНКаз/ РНКаз/протеаз не обнаружено
Электроэндоосмос, ЕЕО не более 0,13
Точка плавления 1,5 % геля, °C 88 ± 1,5
Температура гелеобразования 1,5 % геля, °C 36 ± 1,5
Влажность, % не более 7
Зола, % не более 0,4
Сульфаты, % 0,14
Прочность геля 1 %, г/см² не менее 1400
Условия хранения при комнатной температуре

Индекс риска

R10Огнеопасно
R36/37/38Раздражает глаза, органы дыхания и кожу
Индекс риска (R)
10-36/37/38

Индекс безопасности

S16Хранить вдали от источников возгорания — Не курить
S26В случае попадания в глаза немедленно промыть глаза большим количеством воды и обратиться за медицинской помощью
S36Наденьте соответствующую защитную одежду
Индекс безопасности (S)
16-26-36
diaGene, Россия
Агароза, низкий EEO, LM, легкоплавкая, Genetic Quality Tested
1925,0025
25 г
17 573 руб.
182,= EUR
1925,0100
100 г
56 967 руб.
590,= EUR
1925.0250
250 г


Для разделения фрагментов НК более 1000 п.н.; для аналитического и препаративного электрофореза НК. Низкая температура плавления позволяет проводить манипуляции с НК, не экстрагируя из геля. Genetic Quality Tested – гель подходит для обработки агаразой, что позволяет легко восстанавливать большие фрагменты ДНК для клонирования и энзиматического расщепления; подходит для энзиматической обработки НК (лигирования, расщепления) в геле без предварительной экстракции.
Содержание ДНКаз/ РНКаз/протеаз не обнаружено
Электроэндоосмос, ЕЕО не более 0,12
Точка плавления 1,5 % геля, °C 65,5
Температура гелеобразования 1,5 % геля, °C 24-28
Влажность, % не более 7
Зола, % не более 0,4
Сульфаты, % 0,12
Прочность геля 1,5 %, г/см² не менее 500
Прозрачность 1,5%, NTU не более 4
Условия хранения при комнатной температуре
Скачать:
Агарозы LM и LM GQT, техническая инструкция, англ., 1 стр., 157 kB
См. таже:
Какие факторы необходимо учитывать при выборе типа агарозы.
Таблица выбора агарозы в зависимости от задачи исследования.
Таблица выбора агарозы в зависимости от размеров целевых фрагментов.
Индекс риска (R) 10-36/37/38
Индекс безопасности (S) 16-26-36

Индекс риска

R10Огнеопасно
R36/37/38Раздражает глаза, органы дыхания и кожу
Индекс риска (R)
10-36/37/38

Индекс безопасности

S16Хранить вдали от источников возгорания — Не курить
S26В случае попадания в глаза немедленно промыть глаза большим количеством воды и обратиться за медицинской помощью
S36Наденьте соответствующую защитную одежду
Индекс безопасности (S)
16-26-36
diaGene, Россия
Агароза, низкий EEO, LM, легкоплавкая
1926.0025
25 г
18 152 руб.
188,= EUR
1926.0100
100 г
1926.0500
500 г
Для разделения фрагментов НК более 1000 п.н.; для аналитического и препаративного электрофореза НК. Низкая температура плавления позволяет проводить манипуляции с НК, не экстрагируя из геля.

Скачать: Агарозы LM и LM GQT, техническая инструкция, англ., 1 стр., 157 kB

См. таже:

Какие факторы необходимо учитывать при выборе типа агарозы. Таблица выбора агарозы в зависимости от задачи исследования. Таблица выбора агарозы в зависимости от размеров целевых фрагментов.



Содержание ДНКаз/ РНКаз/протеаз не обнаружено
Электроэндоосмос, ЕЕО не более 0,12
Точка плавления 1,5 % геля, °C 65,5
Температура гелеобразования 1,5 % геля, °C 24-28
Влажность, % не более 7
Зола, % не более 0,4
Сульфаты, % 0,12
Прочность геля 1,5 %, г/см² не менее 500
Прозрачность 1,5%, NTU не более 4
Условия хранения при комнатной температуре

Индекс риска

R10Огнеопасно
R36/37/38Раздражает глаза, органы дыхания и кожу
Индекс риска (R)
10-36/37/38

Индекс безопасности

S16Хранить вдали от источников возгорания — Не курить
S26В случае попадания в глаза немедленно промыть глаза большим количеством воды и обратиться за медицинской помощью
S36Наденьте соответствующую защитную одежду
Индекс безопасности (S)
16-26-36
diaGene, Россия
Агароза, низкий EEO, MS-12, Molecular Screening, повышенная четкость разделения фрагментов 50-1500 п.н.
1946.0025
25 г
11 873 руб.
123,= EUR
1946.0100
100 г
40 553 руб.
420,= EUR
Для разделения фрагментов НК 50- 1500 п.н., для электрофореза НК и ПЦР-продукта, блоттинга. По четкости разделения фрагментов аналогичен ПААГ; гель с повышенной прозрачностью, ломкость минимизирована. Широкий диапазон концентраций за счет повышенной прочности геля - 1-4 %.


Скачать:
Агарозы MS8 и MS12, техническая инструкция, англ., 1 стр., 108 kB


См. также:
Таблица выбора агарозы в зависимости от размеров целевых фрагментов.



Содержание ДНКаз/ РНКаз/протеаз не обнаружено
Электроэндоосмос, ЕЕО не более 0,12
Точка плавления 1,5 % геля, °C 93
Температура гелеобразования 1,5 % геля, °C 40,5
Влажность, % не более 7
Зола, % не более 0,35
Сульфаты, % 0,11
Прочность геля 4%, г/см² не менее 4200
Прозрачность 1,5 %, NTU не более 5
Условия хранения при комнатной температуре

Индекс риска

R10Огнеопасно
R36/37/38Раздражает глаза, органы дыхания и кожу
Индекс риска (R)
10-36/37/38

Индекс безопасности

S16Хранить вдали от источников возгорания — Не курить
S26В случае попадания в глаза немедленно промыть глаза большим количеством воды и обратиться за медицинской помощью
S36Наденьте соответствующую защитную одежду
Индекс безопасности (S)
16-26-36
1946.0500
500 г


Внешний вид Мелкий, однородный порошок
Зола Не более 0,35%
Прозрачность 1,5% (NTU) Не более 5
Сила геля 1,5% (г/см²) Не менее 2000
Активность ДНКазы / РНКазы не обнаружена EEO Не более 0,12
Влажность Не более 10%
Связывание с ДНК Очень низкое
Прочность геля 4% (г/см²) Не менее 4200
Температура гелеобразования 4% (°C) Не более 40 °C
Температура правления 4% (°C) Не более 93 °C
diaGene, Россия
Агароза, низкий EEO, MS-4, Molecular Screening, повышенная четкость разделения фрагментов менее 500 п.н.
1945.0025
25 г
16 897 руб.
175,= EUR
1945.0050
50 г
1945.0100
100 г
1945.0250
250 г
Для разделения фрагментов НК более 1000 п.н.; для электрофореза НК , блоттинга, ДНК-фингерпринтирования. Не размывается, фрагменты при разделении четкие; нет различия по качеству между партиями.

Скачать: Агарозы D2 и FP DNA, техническая инструкция, англ., 1 стр., 69 kB

См. таже:

Какие факторы необходимо учитывать при выборе типа агарозы. Таблица выбора агарозы в зависимости от задачи исследования. Таблица выбора агарозы в зависимости от размеров целевых фрагментов.



Содержание ДНКаз/ РНКаз/протеаз не обнаружено
Электроэндоосмос, ЕЕО не более 0,13
Точка плавления 1,5 % геля °C 88 ± 1,5
Температура гелеобразования 1,5 % геля °C 36 ± 1,5
Влажность % не более 7
Зола % не более 0,4
Сульфаты, % 0,14
Прочность геля 1 %, г/см² не менее 1400
Условия хранения при комнатной температуре
, , ,

Индекс риска

R10Огнеопасно
R36/37/38Раздражает глаза, органы дыхания и кожу
Индекс риска (R)
10-36/37/38

Индекс безопасности

S16Хранить вдали от источников возгорания — Не курить
S26В случае попадания в глаза немедленно промыть глаза большим количеством воды и обратиться за медицинской помощью
S36Наденьте соответствующую защитную одежду
Индекс безопасности (S)
16-26-36
diaGene, Россия
Агароза, низкий EEO, MS-6, Molecular Screening, повышенная четкость разделения фрагментов 150-750 п.н., (артикул арт. 911200.5 gm, CDH)
1953.0025ф
25 г
1953.0100
100 г
1953.0250
250 г
88 996 руб.
922,= EUR
Для разделения фрагментов НК 150-750 п.н.. По четкости разделения фрагментов аналогичен ПААГ; гель с повышенной прозрачностью, ломкость минимизирована. Оптимальная концентрация 3 %.

Скачать: Агарозы MS4 и MS6, техническая инструкция, англ., 1 стр., 138 kB

См. таже:

Какие факторы необходимо учитывать при выборе типа агарозы. Таблица выбора агарозы в зависимости от задачи исследования. Таблица выбора агарозы в зависимости от размеров целевых фрагментов.



Содержание ДНКаз/ РНКаз/протеаз не обнаружено
Электроэндоосмос, ЕЕО 75 не более 0,12
Точка плавления 1,5 % геля, °C 75
Температура гелеобразования 1,5 % геля, °C 35
Влажность, % не более 7
Зола, % не более 0,3
Сульфаты, % 0,1
Прочность геля 3%, г/см² не менее 800
Прозрачность 3 %, NTU не более 4
Условия хранения при комнатной температуре

Индекс риска

R10Огнеопасно
R36/37/38Раздражает глаза, органы дыхания и кожу
Индекс риска (R)
10-36/37/38

Индекс безопасности

S16Хранить вдали от источников возгорания — Не курить
S26В случае попадания в глаза немедленно промыть глаза большим количеством воды и обратиться за медицинской помощью
S36Наденьте соответствующую защитную одежду
Индекс безопасности (S)
16-26-36
diaGene, Россия
Агароза, низкий EEO, MS-8, Molecular Screening, повышенная четкость разделения фрагментов менее 1200 п.н.
1931.0025
25 г
11 104 руб.
115,= EUR
1931.0100
100 г
44 150 руб.
457,= EUR
1931.0500
500 г
165 849 руб.
1 718,= EUR
Для разделения фрагментов НК менее 1200 п.н., для электрофореза НК и ПЦР-продукта, блоттинга. По четкости разделения фрагментов аналогичен ПААГ; гель с повышенной прозрачностью, ломкость минимизирована.

См. также:
Таблица выбора агарозы в зависимости от размеров целевых фрагментов.



Содержание ДНКаз/ РНКаз/протеаз не обнаружено
Электроэндоосмос, ЕЕО не более 0,12
Точка плавления 1,5 % геля, °C 80
Температура гелеобразования 1,5 % геля, °C 35,5
Влажность, % не более 7
Зола, % не более 0,35
Сульфаты, % 0,11
Прочность геля 3%, г/см² не менее 1500
Прозрачность 1,5 %, NTU не более 5
Условия хранения при комнатной температуре

Индекс риска

R10Огнеопасно
R36/37/38Раздражает глаза, органы дыхания и кожу
Индекс риска (R)
10-36/37/38

Индекс безопасности

S16Хранить вдали от источников возгорания — Не курить
S26В случае попадания в глаза немедленно промыть глаза большим количеством воды и обратиться за медицинской помощью
S36Наденьте соответствующую защитную одежду
Индекс безопасности (S)
16-26-36
diaGene, Россия
Агароза, низкий EEO, Novagel, легкоплавкая, Genetic Quality Tested
1952.0025
25 г
1952.0050ДУ
50 г
1952.0100
100 г
1952.0250
250 г
Для разделения фрагментов НК и ПЦР продукта от 50 до 1000 п.н.; для аналитического и препаративного электрофореза НК; оптимальная концентрация 3-6%. Genetic Quality Tested – подходит для обработки агаразой, что позволяет легко восстанавливать небольшие фрагменты ДНК для клонирования и энзиматического расщепления; подходит для энзиматической обработки НК (лигирования, расщепления) в геле без предварительной экстракции.


Скачать:
Агароза LM Sieve и Novagel GQT, техническая инструкция, англ., 1 стр., 107 kB


См. также:
Таблица выбора агарозы в зависимости от размеров целевых фрагментов.



Содержание ДНКаз/ РНКаз/протеаз не обнаружено
Электроэндоосмос, ЕЕО не более 0,13
Точка плавления 1,5 % геля, °C 65
Температура гелеобразования 1,5 % геля, °C 35
Влажность, % не более 7
Зола, % не более 0,45
Сульфаты, % 0,12
Прочность геля 4 %, г/см² не менее 800
Прозрачность 4 %, NTU не более 6
Условия хранения при комнатной температуре

Индекс риска

R10Огнеопасно
R36/37/38Раздражает глаза, органы дыхания и кожу
Индекс риска (R)
10-36/37/38

Индекс безопасности

S16Хранить вдали от источников возгорания — Не курить
S26В случае попадания в глаза немедленно промыть глаза большим количеством воды и обратиться за медицинской помощью
S36Наденьте соответствующую защитную одежду
Индекс безопасности (S)
16-26-36
CDH, Индия
Агароза, низкий EEO, для молекулярной биологии, (аналоги: арт. 1952.0025, арт. 1952.0050ДУ, арт. 1952.0100, diaGene)
911120 .10 gm
10 г
911120 .25 gm
25 г
4 463 руб.
54,= USD
911120.100 gm
100 г
15 222 руб.
185,= USD
911120 .500 gm
500 г
30 028 руб.
365,= USD

Высокоочищенная агароза с низким EEO, подхоит для разделения нуклеиновых кислот в диапазоне от 100 до 25 000 п.н., с низким фоном окрашивания; можно использовать также для проверки продуктов ПЦР и плазмид, иммуноэлектрофореза и др. фореза.

Характеристики

  • Электроэндоосмос, EEO — 0,09- 0,13;
  • температура полимеризации (1.5% геля), °C — 36+1,5;
  • влажность, % — 10;
  • зола, % — 0,5;
  • сульфаты, % — 0,15;
  • белый порошок;
  • прочность 1,5% геля, г/см — 1200;
  • не содержит ДНКазы, РНКазы, протеазы.
diaGene, Россия
Агароза, низкий EEО, D2, повышенная температура гелеобразования, имп.
1949.0025
25 г
1949.0100
100 г
17 212 руб.
178,= EUR
1949.0250
250 г
1949.0500
500 г
1949.1000
1 кг
Для разделения фрагментов НК более 1000 п.н.; для электрофореза НК и белкового электрофореза. Повышенная температура гелеобразования придает гелю большую устойчивость.


Скачать:
Агарозы D2 и FP DNA, техническая инструкция, англ., 1 стр., 69 kB


См. также:
Таблица выбора агарозы в зависимости от размеров целевых фрагментов.




Содержание ДНКаз/ РНКаз/протеаз не обнаружено
Электроэндоосмос, ЕЕО не более 0,14
Точка плавления 1,5 % геля, °C 87 ± 1,5
Температура гелеобразования 1,5 % геля, °C 42 ± 1,5
Зола, % не более 0,4
Влажность, % не более 8
Сульфаты, % 0,2
Прочность геля 1 %, г/см² не менее 900
Прозрачность 1,5%, NTU не более 3
Условия хранения при комнатной температуре

Индекс риска

R10Огнеопасно
R36/37/38Раздражает глаза, органы дыхания и кожу
Индекс риска (R)
10-36/37/38

Индекс безопасности

S16Хранить вдали от источников возгорания — Не курить
S26В случае попадания в глаза немедленно промыть глаза большим количеством воды и обратиться за медицинской помощью
S36Наденьте соответствующую защитную одежду
Индекс безопасности (S)
16-26-36
911200.5g
5 г
911200.10g
10 г
9 520 руб.
116,= USD
911200.25g
25 г
16 760 руб.
203,= USD
911200.100g
100 г

Данный вид агарозы имеет пониженную температуру плавления (легкоплавкая), подходит для разделения фрагментов ДНК размером менее 1000 п.н. и может различать фрагменты размером до 8 п.н.

Характеристики

  • Электроэндоосмос, EEO — 0,1;
  • температура плавления (4% геля), °C — около 65;
  • влажность, % — 10;
  • зола, % — 0,5;
  • сульфаты, % — 0,2;
  • белый порошок;
  • температура полимеризации (4% геля), °C — около 35;
  • не содержит ДНКазы, РНКазы, протеазы.
diaGene, Россия
Агароза, средний EEO, D1, (аналог арт. 911050.10gm, CDH)
1948.0025
25 г
3 862 руб.
40,= EUR
1948.0100
100 г
1948.0250
250 г
1948.0500
500 г
52 043 руб.
539,= EUR
1948.1000
1 кг
Для разделения фрагментов НК более 1000 п.н.; для электрофореза НК и белкового электрофореза.

Скачать:
Агароза D1, техническая инструкция, англ., 1 стр., 95 kB


См. также:
Таблица выбора агарозы в зависимости от размеров целевых фрагментов.




Содержание ДНКаз/ РНКаз/протеаз не обнаружено
Электроэндоосмос, ЕЕО 0,16 - 0,19
Точка плавления 1,5 % геля, °C 88 ± 1,5
Температура гелеобразования 1,5 % геля, °C 36 ± 1,5
Влажность, % не более 7
Зола, % не более 0,5
Сульфаты, % 0,14
Прочность геля 1 %, г/см² не менее 1000
Прозрачность 1,5%, NTU не более 4
Условия хранения при комнатной температуре

Индекс риска

R10Огнеопасно
R36/37/38Раздражает глаза, органы дыхания и кожу
Индекс риска (R)
10-36/37/38

Индекс безопасности

S16Хранить вдали от источников возгорания — Не курить
S26В случае попадания в глаза немедленно промыть глаза большим количеством воды и обратиться за медицинской помощью
S36Наденьте соответствующую защитную одежду
Индекс безопасности (S)
16-26-36
CDH, Индия
Агароза, средний EEO, тип II, для молекулярной биологии, (аналоги: арт. 1948.0025, арт. 1948.0100, арт. 1948.0250, diaGene)
911050.10 gm
10 г
5 369 руб.
65,= USD
911050.25 gm
25 г
10 738 руб.
130,= USD
911050.100 gm
100 г
42 898 руб.
521,= USD
911050.500 gm
500 г
84 273 руб.
1 023,= USD

Высокоочищенная агароза со средним EEO подходит для разделения белков методами иммунодиффузии и иммуноэлектрофореза.

Характеристики

  • Электроэндоосмос, EEO — 0,16- 0,19;
  • температура полимеризации (1.5% геля), °C — 36+1,5;
  • влажность, % — 10;
  • зола, % — 1;
  • сульфаты, % — 0,2;
  • белый порошок;
  • прочность 1,5% геля, г/см — 1500;
  • не содержит ДНКазы, РНКазы, протеазы.
Импорт
Бромфеноловый голубой, CAS 115-39-9, не менее 95%
U115399.0005
5 г
747 руб.
9,= USD
U115399.0025
25 г
U115399.0100
100 г
U115399.0500
500 г
38 217 руб.
464,= USD
U115399.15000ду
15 кг


Синонимы Тетрабромфенолсульфофталеин
CAS-No. 115-39-9
Химическая формула C₁₉H₁₀Br₄O₅S
Молекулярная масса, г/моль 669,98
Внешний вид коричнево-розовый порошок
Диапазон рН перехода окраски, рН 3,0-4,6 (от зелено-желтой к сине-фиолетовой)
Растворимость 0,1% (в этаноле) прозрачный желтый раствор
Абсорбирующая способность 1%, 1 см: рН 3,0 при λ макс 436,0 нм 350 - 385 рН 4,6 при λ макс 591,0 нм 940 - 1000
Потери при высушивании, 110°C, 1 ч, % 1
Условия хранения комнатная температура

Индекс риска

R61Может причинить вред эмбриону
R20/21Опасно при вдыхании и попадании на кожу
R36Вызывает раздражение глаз
R36/37/38Раздражает глаза, органы дыхания и кожу
R20/21/22Опасно при вдыхании, попадании на кожу и проглатывании
Индекс риска (R)
61-20/21-36-36/37/38-20/21/22

Индекс безопасности

S53Избегать контакта — перед использованием получить специальные инструкции
S45В случае аварии или при плохом самочувствии немедленно обратиться за медицинской помощью (по возможности предъявить этикетку материала)
S24/25Избегать попадания на кожу и в глаза
S22Не вдыхать пыль
S36Наденьте соответствующую защитную одежду
S26В случае попадания в глаза немедленно промыть глаза большим количеством воды и обратиться за медицинской помощью
Индекс безопасности (S)
53-45-24/25-22-36-26
3012
1 мл
583 руб.
583 руб. RUB
Буфер для хранения и нанесения образцов, содержит 2 красителя для оценки подвижности в геле,
состав: 12,5 % глицерин, 0,008% бромфеноловый синий, 0,008% ксиленцианол, 5 мМ ЭДТА, 10 мМTris-HCl (pH 8,0).

3013
1 мл
583 руб.
583 руб. RUB
Буфер для хранения и нанесения образцов, содержит 3 красителя для оценки подвижности в геле,
состав: 60 % глицерин, 0,003% бромфеноловый синий, 0,003% ксиленцианол, 0,15% оранжевый G, 60 мМ ЭДТА, 10 мМTris-HCl (pH 7,6).
G3375-1ML
1 мл
236 руб.
20 CNY

10-кратный буфер для загрузки образцов ДНК в гель, содержит красный краситель в качестве индикатора движения образца ДНК. Миграция красителя в 1×TAE буфере и 1% агарозном геле примерно 370 пн, и в 1×TBE буфере и 1% агарозном геле примерно 220 пн.

Условия хранения и транспортировки: при комнатной температуре, срок годности — 24 мес.

Фасовка, мл — 1.

G3376-1ML
1 мл
354 руб.
29 CNY

10-кратный буфер для загрузки образцов ДНК в гель, содержит два красителя: красный и оранжевый в качестве индикаторов движения образца ДНК в геле. Миграция красного красителя в 1×TAE буфере и 1% агарозном геле примерно 370 пн, а в 1×TBE буфере и 1% агарозном геле примерно 220 пн. Миграция оранжевого красителя в 1×TAE или 1×TBE буфере и 1% агарозном геле до 100 пн.

Условия хранения и транспортировки: при комнатной температуре, срок годности — 24 мес.

Фасовка, мл — 1.

1610743
1 л
26 342 руб.
273,= EUR
1610773
5 л
53 168 руб.
551,= EUR
Предназначен для нативного и денатурирующего электрофореза ДНК и нативного электрофореза РНК в агарозном и полиакриламидном гелях. В отличие от ТВЕ-буфера, не влияет на активность ДНК-модифицирующих ферментов. Приготовлен на деионизованной воде (18 МОм). 1-кратный буфер содержит 40 мМ Трис, 20 мМ ацетат и 1 мМ ЭДТА, рН 8.0. Фасовка 5 л поставляется в кубическом контейнере.
Thermo FS
Буфер TAE (Трис-ацетат-ЭДТА), 50Х, (аналог арт. 3770.0500, Диаэм)
B49
1 л
12 300 руб.
12 300 руб. RUB
Предназначен для электрофореза нуклеиновых кислот в агарозном и полиакриламидном гелях. Используется как электродный буфер, буфер для заливки гелей и буфер для приготовления образцов. Отфильтрован через мембрану 0,22 мкм. Рекомендуется для электрофоретического разделения фрагментов ДНК и РНК длиной более 1000 нуклеотидов, геномной ДНК и суперскрученной ДНК.
24710030
1 л
Предназначен для электрофореза нуклеиновых кислот в агарозном геле, в том числе, в готовых гелях E-Gel. Используется как электродный буфер, буфер для заливки гелей и буфер для приготовления образцов. Отфильтрован через мембрану 0,22 мкм. Тестирован на отсутствие ДНКазной активности. Рекомендуется для электрофоретического разделения фрагментов ДНК и РНК длиной более 1000 нуклеотидов, геномной ДНК и суперскрученной ДНК.
Ваш заказ будет обработан
в ближайшее время.
Мы пришлем уведомление, как только все будет готово. Спасибо!