Top.Mail.Ru
kemerovo@dia-m.ru 8 (800) 234-05-08
+7 (923) 158-67-53
Ваш регион Москва?

Шланги (трубки, магистрали) для жидкостей и газов

Шланги (трубки, магистрали) для жидкостей и газов — полая трубка, предназначенная для транспортировки жидкостей или газов, применяются как на производстве, так и в лабораториях. В разделе представлены шланги (трубки, магистрали) для жидкостей и для газов.
Каталоги, статьи, видео
Фильтр
Все производители
Все категории
Материал
Фильтр
Доступность
  • На складе
  • В транзите и на складе
  • Все товары
Bioprene
  • Длительный срок службы;
  • широкий диапазон химической совместимости;
  • работает со средами с температурой до 80 °С;
  • повторяющееся автоклавирование не уменьшает срок службы данного материала;
  • можно стерелизовать оксидом этилена или гамма излучением;
  • диапазон рабочих температур, °С — от -5 до 80;
  • возможно применять при работе с пищевыми продуктами.

Размеры трубок:

  • длина трубок, м – 3, 5, 15 и более;

  • диаметр трубок внутренний / внешний, мм:
    • для одноканальных перистальтических насосов — 0,5 / 3,7; 0,8 / 4; 1,2 / 4,4; 1,6 / 4,8; 2,4 / 5,6; 3,2 / 6,4; 4,8 / 8; 6,4 / 9,6; 8 / 11,2; 0,5 / 5,3; 0,8 / 5,6; 1,6 / 6,4; 3,2 / 8; 4,8 / 9,6; 6,4 / 11,2; 8 / 12,8; 9,6 / 14,4; 6,4 / 12,8; 9,6 / 16; 12,7 / 19,1; 15,9 / 22,3; 8 / 16; 12 / 20; 16 / 24; 9,6 / 19,2; 12,7 / 22,3; 15,9 / 25,5; 19 / 28,6; 25,4 / 35;

    • для многоканальных перистальтических насосов — 0,13 / 1,73 ; 0,19 / 1,79; 0,25 / 1,85; 0,38 / 1,98; 0,5 / 2,1; 0,63 / 2,23; 0,76 / 2,36; 0,88 / 2,48; 1,02 / 2,62; 1,14 / 2,74; 1,29 / 2,89; 1,42 / 3,02; 1,52 / 3,12; 1,65 / 3,25; 1,85 / 3,45; 2,05 / 3,65; 2,29 / 3,89; 2,54 / 4,14; 2,79 / 4,39.
  • толщина стенки трубок, мм:
    • для одноканальных перистальтических насосов — 1,6; 2,4; 3,2, 4,0, 4,8
    • для многоканальных перистальтических насосов — 0,8.

Размеры шлангов для перистальтических насосов и насосов-дозаторов подбираются специалистом Диаэм индивидуально в зависимости от модели насоса и требуемой скорости потока (мл/мин).

Скачать:
Шланги и трубки Watson-Marlow, брошюра, англ., 15 стр., 1 MB
Фиттинги для шлангов Watson-Marlow для науки и производств, каталог, англ., 35 стр., 1 MB

Neoprene
  • Эффективен при работе с абразивными, густыми растворами и в системах с постоянным давлением;
  • диапазон рабочих температур, °С — от 0 до 80.

Размеры трубок:

  • длина трубок, м – 3, 5, 15 и более;

  • диаметр трубок внутренний / внешний, мм:
    • для одноканальных перистальтических насосов — 0,5 / 3,7; 0,8 / 4; 1,2 / 4,4; 1,6 / 4,8; 2,4 / 5,6; 3,2 / 6,4; 4,8 / 8; 6,4 / 9,6; 8 / 11,2; 0,5 / 5,3; 0,8 / 5,6; 1,6 / 6,4; 3,2 / 8; 4,8 / 9,6; 6,4 / 11,2; 8 / 12,8; 9,6 / 14,4; 6,4 / 12,8; 9,6 / 16; 12,7 / 19,1; 15,9 / 22,3; 8 / 16; 12 / 20; 16 / 24; 9,6 / 19,2; 12,7 / 22,3; 15,9 / 25,5; 19 / 28,6; 25,4 / 35;

    • для многоканальных перистальтических насосов — 0,13 / 1,73 ; 0,19 / 1,79; 0,25 / 1,85; 0,38 / 1,98; 0,5 / 2,1; 0,63 / 2,23; 0,76 / 2,36; 0,88 / 2,48; 1,02 / 2,62; 1,14 / 2,74; 1,29 / 2,89; 1,42 / 3,02; 1,52 / 3,12; 1,65 / 3,25; 1,85 / 3,45; 2,05 / 3,65; 2,29 / 3,89; 2,54 / 4,14; 2,79 / 4,39.
  • толщина стенки трубок, мм:
    • для одноканальных перистальтических насосов — 1,6; 2,4; 3,2, 4,0, 4,8
    • для многоканальных перистальтических насосов — 0,8.

Размеры шлангов для перистальтических насосов и насосов-дозаторов подбираются специалистом Диаэм индивидуально в зависимости от модели насоса и требуемой скорости потока (мл/мин).

Скачать:
Шланги и трубки Watson-Marlow, брошюра, англ., 15 стр., 1 MB
Фиттинги для шлангов Watson-Marlow для науки и производств, каталог, англ., 35 стр., 1 MB

ШГ_ПВХ
Шланг газовый используется для транспортировки под давлением газа пропан-бутан и природного газа с рабочим давлением 20 бар и в температурном диапазоне от -10 до + 60 °С.

  • Материал — поливинилхлорид;
  • внутренний диаметр, мм — 9;
  • внешний диаметр, мм — 15;
  • толщина стенки, мм — 3;
  • максимальное давление на разрыв, бар — 60;
  • рабочее избыточное давление, бар — 20.
ШГ_ВК

Шланг газовый используется для подачи под давлением городского газа, пропана, бутана, кислорода к бытовой газовой технике, изготовлен из вулканизированной резины с армированием текстильной нитью.

Характеристики шланга

  • Материал — вулканизированной резина;
  • внутренний диаметр, мм — 9;
  • внешний диаметр, мм — 18;
  • толщина стенки, мм — 4,5.
Viton
  • Применение - превосходная стойкость к кислотам и высоким температурам;
  • низкая газопроницаемость, отличная устойчивость к растворителям и коррозионно-активным веществам при высоких температурах;
  • материал — фторуглеродная резиносажа, термически сформированная (содержание фтора 67 %); матовый, чёрный;
  • стабилен при температуре от -30 до +205 °С;
  • рекомендована стерилизация горячим воздухом в течение 16 часов при +250 °C;
  • соответствует стандарту GLP;
  • ограничения — ограниченный срок службы;
  • устойчивость:
    • кислоты — отлично;
    • щелочи — отлично;
    • растворители — необходимо уточнять;
    • давление — хорошо;
    • вакуум — хорошо;
    • вязкие растворы — хорошо;
    • стерильные растворы — удовлетворительно.

Размеры трубок:

  • для одноканальных перистальтических насосов:
    • диаметр трубок внутренний/внешний, мм — 0,8/4; 1,7/4,9; 3,1/6,3; 4,8/8; 6,3/9,5; 4,8/9,8; 6,3/11,3; 7,9/12,9;
    • толщина стенки трубок, мм — 1,6 и 2,5.
  • для многоканальных перистальтических насосов:
    • диаметр трубок внутренний/внешний, мм — 0,25/2,05; 0,51/2,31; 0,89/2,69; 1,42/3,22; 2,79/4,59; 0,8/4; 1,7/4,9; 3,1/6,3; 4,8/8; 6,3/9,5;
    • толщина стенки трубок, мм — 0,9 и 1,6.

Размеры шлангов для перистальтических насосов и насосов-дозаторов подбираются специалистом Диаэм индивидуально в зависимости от модели насоса и требуемой скорости потока (мл/мин).

Скачать:
Таблица устойчивости материалов шлангов Heidolph к различным растворителям, англ., 1 стр., 55 kB

Bioflex Ultrа
Bioflex Ultra — химически инертные, простые в очистке шланги устойчивы к коррозии и предназначены для фармацевтической и химической промышленности, а также для производства пищевых продуктов и напитков. Эти гибкие шланги обладают высокой надежностью, превосходными рабочими характеристиками и долгим сроком службы.

  • Внутренняя поверхность из запатентованного натурального или антистатического PTFE;
  • сочетание высокой гибкости и устойчивости к излому;
  • гладкая внутренняя поверхность обеспечивает беспрепятственный поток среды и простоту очистки;
  • способность работать при высокой температуре и давлении;
  • химическая стойкость;
  • концевые фитинги с PTFE покрытием и без покрытия; лазерная гравировка на манжете обеспечивает полную отслеживаемость изделия;
  • доступны различные варианты оплетки, покрытий и наружной защиты.


Технические характеристики:
  • диапазон внутренних диаметров шланга, мм — от 9,5 до 80;
  • длина шланга d до 50 мм — до 30 м;
  • d до 65 мм — до 18 м;
  • d до 80 мм — до 15 м.

Опции, аксессуары:

Варианты оплетки, покрытия, наружной защиты и маркировки:
  • оплетка: из проволоки из нержавеющей стали (марка SS) или полипропиленовой нити (марка PB);
  • наружное покрытие: крышка из каучука синего (марка RC) или черного (марка BK) цвета, либо прозрачная крышка из вулканизированного платиной силиконового каучука (марка SI);
  • наружная защита: защитное покрытие, кольца для защиты от истирания или защитная обмотка.

Для подбора шлангов требуется сообщать применение, температуру, давление, внутренний диаметр и длину шланга, тип и размеры концевых фитингов.
148885
Предназначенные для замены шлангов из силиконового каучука, используемых для перекачивания сред в фармацевтической, химической и пищевой отраслях промышленности, шланги Pharmaline N и X обладают гладкой внутренней поверхностью и выдерживают многократную обработку в автоклавах.

  • Используется вместо шланга из силиконового каучука в случаях, когда требуется максимальная химическая стойкость внутренней поверхности шланга;
  • гладкая внутренняя поверхность обеспечивает беспрепятственный поток среды и простоту очистки;
  • высокая гибкость и устойчивость к излому, покрытие из натурального или антистатического PTFE каучука;
  • ассортимент концевых фитингов с покрытием и без покрытия; лазерная гравировка на манжете обеспечивает полную отслеживаемость изделия;
  • полностью герметичная гигиеническая система маркировки;
  • наружное покрытие Pharmaline N — из белого вулканизированного платиной силикона.


Технические характеристики:
  • диапазон внутренних диаметров шланга, мм — от 9,5 до 80;
  • длина шланга d до 50 мм — до 30 м;
  • d до 65 мм — до 18 м;
  • d до 80 мм — до 15 м.

Для подбора шлангов требуется сообщать применение, температуру, давление, внутренний диаметр и длину шланга, тип и размеры концевых фитингов.
Pharmaline X
Предназначенные для замены шлангов из силиконового каучука, используемых для перекачивания сред в фармацевтической, химической и пищевой отраслях промышленности, шланги Pharmaline N и X обладают гладкой внутренней поверхностью и выдерживают многократную обработку в автоклавах.

  • Используется вместо шланга из силиконового каучука в случаях, когда требуется максимальная химическая стойкость внутренней поверхности шланга;
  • гладкая внутренняя поверхность обеспечивает беспрепятственный поток среды и простоту очистки;
  • высокая гибкость и устойчивость к излому, покрытие из натурального или антистатического PTFE каучука;
  • ассортимент концевых фитингов с покрытием и без покрытия; лазерная гравировка на манжете обеспечивает полную отслеживаемость изделия;
  • полностью герметичная гигиеническая система маркировки;
  • наружное покрытие Pharmaline X — из прозрачного вулканизированного платиной силикона.


Технические характеристики:
  • диапазон внутренних диаметров шланга, мм — от 9,5 до 80;
  • длина шланга d до 50 мм — до 30 м;
  • d до 65 мм — до 18 м;
  • d до 80 мм — до 15 м.

Для подбора шлангов требуется сообщать применение, температуру, давление, внутренний диаметр и длину шланга, тип и размеры концевых фитингов.
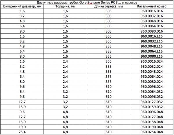
Sta-pure_PCS
  • Высокое сопротивление разрыву, выдерживает давление до 7 бар;
  • имеет слоистую структуру и классифицирован как нетоксичный материал;
  • диапазон рабочих температур, °С — от -20 до 80;
  • можно автоклавировать.

Размеры шлангов для перистальтических насосов и насосов-дозаторов подбираются специалистом Диаэм индивидуально в зависимости от модели насоса и требуемой скорости потока (мл/мин).

Скачать:
Шланги и трубки Watson-Marlow, брошюра, англ., 15 стр., 1 MB
Фиттинги для шлангов Watson-Marlow для науки и производств, каталог, англ., 35 стр., 1 MB

Pumpsil
  • Pumpsil (силикон с платиновой вулканизацией), материал для лабораторного использования для трубок с калибром до 9,6мм;
  • разработан специально для биофармацевтического использования;
  • не содержит выщелачиваемых веществ, характерных для силикона с пероксидной, а не с платиновой вулканизацией;
  • при производстве проходит дополнительную вулканизацию с целью удаления линейных и циклических силоксанов, цитотоксических материалов;
  • имеет гладкую внутреннюю поверхность, что позволяет контролировать протеиновое связывание и рост бактерий;
  • идеально подходит для производственных систем, в которых происходит длительный контакт с технологической средой;
  • возможно нанесение на трубку номера изделия, партии и срока использования без применения чернил;
  • диапазон рабочих температур, °С — от -20 до 80;
  • возможно автоклавирование.

Размеры трубок:

  • длина трубок, м – 3, 5, 15 и более;

  • диаметр трубок внутренний / внешний, мм:
    • для одноканальных перистальтических насосов — 0,5 / 3,7; 0,8 / 4; 1,2 / 4,4; 1,6 / 4,8; 2,4 / 5,6; 3,2 / 6,4; 4,8 / 8; 6,4 / 9,6; 8 / 11,2; 0,5 / 5,3; 0,8 / 5,6; 1,6 / 6,4; 3,2 / 8; 4,8 / 9,6; 6,4 / 11,2; 8 / 12,8; 9,6 / 14,4; 6,4 / 12,8; 9,6 / 16; 12,7 / 19,1; 15,9 / 22,3; 8 / 16; 12 / 20; 16 / 24; 9,6 / 19,2; 12,7 / 22,3; 15,9 / 25,5; 19 / 28,6; 25,4 / 35;

    • для многоканальных перистальтических насосов — 0,13 / 1,73 ; 0,19 / 1,79; 0,25 / 1,85; 0,38 / 1,98; 0,5 / 2,1; 0,63 / 2,23; 0,76 / 2,36; 0,88 / 2,48; 1,02 / 2,62; 1,14 / 2,74; 1,29 / 2,89; 1,42 / 3,02; 1,52 / 3,12; 1,65 / 3,25; 1,85 / 3,45; 2,05 / 3,65; 2,29 / 3,89; 2,54 / 4,14; 2,79 / 4,39.
  • толщина стенки трубок, мм:
    • для одноканальных перистальтических насосов — 1,6; 2,4; 3,2, 4,0, 4,8
    • для многоканальных перистальтических насосов — 0,8.

Размеры шлангов для перистальтических насосов и насосов-дозаторов подбираются специалистом Диаэм индивидуально в зависимости от модели насоса и требуемой скорости потока (мл/мин).

Скачать:
Шланги и трубки Watson-Marlow, брошюра, англ., 15 стр., 1 MB
Фиттинги для шлангов Watson-Marlow для науки и производств, каталог, англ., 35 стр., 1 MB

PureWeld_XL
  • Термопластичный эластомер;
  • успешно используется в биофармацевтике;
  • сертифицирован для использования на пищевом производстве;
  • диапазон рабочих температур, °С — от −20 до 80;
  • можно стерилизовать оксидом этилена и гамма излучением;
  • можно автоклавировать.

Размеры шлангов для перистальтических насосов и насосов-дозаторов подбираются специалистом Диаэм индивидуально в зависимости от модели насоса и требуемой скорости потока (мл/мин).

Скачать:
Шланги и трубки Watson-Marlow, брошюра, англ., 15 стр., 1 MB
Фиттинги для шлангов Watson-Marlow для науки и производств, каталог, англ., 35 стр., 1 MB

Marprene
  • Термопластичный эластомер;
  • непрозрачен и не пропускает ультрафиолетовые лучи;
  • устойчив к воздействию окисляющих веществ, таких как озон, перекиси и гипохлорит натрия;
  • успешно используется на пищевом производстве;
  • диапазон рабочих температур, °С — от 5 до 80;
  • можно автоклавировать;
  • идеально подходит для стандартных условий работы.

Размеры трубок:

  • длина трубок, м – 3, 5, 15 и более;

  • диаметр трубок внутренний / внешний, мм:
    • для одноканальных перистальтических насосов — 0,5 / 3,7; 0,8 / 4; 1,2 / 4,4; 1,6 / 4,8; 2,4 / 5,6; 3,2 / 6,4; 4,8 / 8; 6,4 / 9,6; 8 / 11,2; 0,5 / 5,3; 0,8 / 5,6; 1,6 / 6,4; 3,2 / 8; 4,8 / 9,6; 6,4 / 11,2; 8 / 12,8; 9,6 / 14,4; 6,4 / 12,8; 9,6 / 16; 12,7 / 19,1; 15,9 / 22,3; 8 / 16; 12 / 20; 16 / 24; 9,6 / 19,2; 12,7 / 22,3; 15,9 / 25,5; 19 / 28,6; 25,4 / 35;

    • для многоканальных перистальтических насосов — 0,13 / 1,73 ; 0,19 / 1,79; 0,25 / 1,85; 0,38 / 1,98; 0,5 / 2,1; 0,63 / 2,23; 0,76 / 2,36; 0,88 / 2,48; 1,02 / 2,62; 1,14 / 2,74; 1,29 / 2,89; 1,42 / 3,02; 1,52 / 3,12; 1,65 / 3,25; 1,85 / 3,45; 2,05 / 3,65; 2,29 / 3,89; 2,54 / 4,14; 2,79 / 4,39.
  • толщина стенки трубок, мм:
    • для одноканальных перистальтических насосов — 1,6; 2,4; 3,2, 4,0, 4,8
    • для многоканальных перистальтических насосов — 0,8.

Размеры шлангов для перистальтических насосов и насосов-дозаторов подбираются специалистом Диаэм индивидуально в зависимости от модели насоса и требуемой скорости потока (мл/мин).

Скачать:
Шланги и трубки Watson-Marlow, брошюра, англ., 15 стр., 1 MB
Фиттинги для шлангов Watson-Marlow для науки и производств, каталог, англ., 35 стр., 1 MB

Sta-pure_PFL
  • Высокое сопротивление разрыву, выдерживает давление до 4 бар;
  • эффективен при работе с агрессивными химикатами и органическими растворителями, такими как толуол и ацетон;
  • диапазон рабочих температур, °С — от −20 до 80;
  • можно автоклавировать.

Размеры шлангов для перистальтических насосов и насосов-дозаторов подбираются специалистом Диаэм индивидуально в зависимости от модели насоса и требуемой скорости потока (мл/мин).

Скачать:
Шланги и трубки Watson-Marlow, брошюра, англ., 15 стр., 1 MB
Фиттинги для шлангов Watson-Marlow для науки и производств, каталог, англ., 35 стр., 1 MB

409.303.хх

Шланг лабораторный применяется в фармацевтической промышленности.

Характеристики трубок

  • Материал трубки натуральный каучук (NR);
  • диапазон рабочих температур, °С — от -20 до -70;
  • устойчив к воздействию кислот и щелочей;
  • можно использовать при высоком давлении;
  • твердость по Шору, А — 50-55.

Артикул

Внутренний диаметр (мм)

Толщина стенки (мм)

Наружный диаметр (мм)

Упаковка

409.303.01

3

5

13

10 метров

409.303.02

5

5

15

10 метров

409.303.03

6

5

16

10 метров

409.303.04

8

5

18

10 метров

409.303.05

9

5

19

10 метров

409.303.06

10

6

22

10 метров

409.303.07

12,5

6,5

24

10 метров

408.303.01
14 111 руб.
180,= USD

Шланг лабораторный применяется в фармацевтической промышленности.

Характеристики трубок

  • Материал трубки натуральный каучук (NR);
  • диапазон рабочих температур, °С — от -20 до -70;
  • устойчив к воздействию кислот и щелочей;
  • можно использовать при высоком давлении;
  • твердость по Шору, А — 50-55.

Артикул

Внутренний диаметр (мм)

Толщина стенки (мм)


Наружный диаметр (мм)

Упаковка

408.303.01

3

3

9

10 метров

408.303.02

5

3

11

10 метров

408.303.03

6

3

12

10 метров

408.303.04

8

3

14

10 метров

408.303.05

9

3

15

10 метров

408.303.07

10

4

18

10 метров

408.303.06

12

4

20

10 метров

Corroflon
Corroflon — фторопластовый шланг с гибким спиральным внутренним покрытием из PTFE. Внутренняя поверхность у Corroflon сконфигурирована неглубокими витками, что сводит к минимуму ограничение производительности, а наружное проволочное армирование обеспечивает возможность работы при пониженном давлении и устойчивость к излому при работе в технологических системах.

  • Внутренняя поверхность из запатентованного натурального или антистатического PTFE;
  • спиральная форма покрытия обеспечивает непревзойденную гибкость при минимальном ограничении производительности;
  • возможность работы при пониженном давлении, устойчивость к излому;
  • способность работать при высокой температуре и давлении
  • химическая стойкость;
  • концевые фитинги с покрытием из PTFE и без покрытия;
  • доступны различные варианты оплетки, покрытия и наружной защиты.

Технические характеристики:
  • диапазон внутренних диаметров шланга, мм — от 9,5 до 80;
  • длина шланга d до 50 мм — до 30 м;
  • d до 65 мм — до 18 м;
  • d до 80 мм — до 15 м.

Опции, аксессуары:
  • варианты оплетки, покрытия, наружной защиты и маркировки:
  • оплетка: из проволоки из нержавеющей стали или полипропиленовой нити.
  • наружное покрытие: з черного EPDM каучука (марка RC) или прозрачного силиконового каучука (марка SI)
  • наружная защита: защитное покрытие, кольца для защиты от истирания или защитная обмотка.

Для подбора шлангов требуется сообщать применение, температуру, давление, внутренний диаметр и длину шланга, тип и размеры концевых фитингов.
Corroline+
Corroline+ — прочные химические и промышленных шланги с гладкой внутренней поверхностью для перекачивания химических и других сред в тяжелых условиях эксплуатации. Их дополнительным преимуществом является армирование, позволяющее шлангам выдерживать условия самой жесткой физической нагрузки. Шланги Corroline+ обладают высокой гибкостью и устойчивостью к излому.
  • Высокая гибкость и армированная структура позволяют использовать шланг в условиях самой жесткой физической нагрузки;
  • максимальная устойчивость к излому и смятию;
  • антистатическое и огнестойкое каучуковое покрытие;
  • гладкая внутренняя поверхность обеспечивает быстрый поток среды и простоту очистки;
  • внутренняя поверхность из натурального или антистатического PTFE;
  • концевые фитинги с покрытием из PTFE и без покрытия;
  • различные опции наружной защиты.

Технические характеристики:
  • диапазон внутренних диаметров шланга, мм — от 9,5 до 80;
  • длина шланга d до 50 мм — до 30 м;
  • d до 65 мм — до 18 м;
  • d до 80 мм — до 15 м.

Для подбора шлангов требуется сообщать применение, температуру, давление, внутренний диаметр и длину шланга, тип и размеры концевых фитингов.
Tygon_2001_food
  • Применение - пищевая промышленность, продукты с высоким содержанием жира;
  • отличная химическая стойкость, можно использовать даже с полярными растворителями, не содержат пластификаторов и масел, ограниченный срок службы, отличная гибкость;
  • материал — мягкий термопластичный ПВХ, прозрачный;
  • стабилен при температуре от -78 до +71 °С;
  • можно автоклавировать в течение 30 мин при +120 °С и давлении пара 1 бар, стерилизовать облучением или оксидом этилена;
  • соответствует стандартам USP класс VI, FDA (21 CFR 177.2600) и GLP;
  • ограничения — не подходит для привода Hei-Flow Value 06;
  • устойчивость:
    • кислоты — отлично;
    • щелочи — отлично;
    • растворители — хорошо;
    • давление — хорошо;
    • вакуум — хорошо;
    • вязкие растворы — хорошо;
    • стерильные растворы — хорошо.

Размеры трубок:

  • для одноканальных перистальтических насосов:
    • диаметр трубок внутренний/внешний, мм — 0,8/4; 1,7/4,9; 3,1/6,3; 4,8/8; 6,3/9,5; 4,8/9,8; 6,3/11,3; 7,9/12,9;
    • толщина стенки трубок, мм — 1,6 и 2,5.
  • для многоканальных перистальтических насосов:
    • диаметр трубок внутренний/внешний, мм — 0,25/2,05; 0,51/2,31; 0,89/2,69; 1,42/3,22; 2,79/4,59; 0,8/4; 1,7/4,9; 3,1/6,3; 4,8/8; 6,3/9,5;
    • толщина стенки трубок, мм — 0,9 и 1,6.

Размеры шлангов для перистальтических насосов и насосов-дозаторов подбираются специалистом Диаэм индивидуально в зависимости от модели насоса и требуемой скорости потока (мл/мин).

Скачать:
Таблица устойчивости материалов шлангов Heidolph к различным растворителям, англ., 1 стр., 55 kB

Tygon_standard
  • Применение - для стандартных задач;
  • не токсичен, не вызывает окисления, низкая газопроницаемость, износоустойчив, устойчив к растворам кислот, щелочей и неорганическим средам, долгий срок службы;
  • материал — термопластический мягкий ПВХ, прозрачный;
  • стабилен при температуре от -50 до +75 °С;
  • можно автоклавировть в течение 30 мин при +120 °С и давлении пара 1 бар, стерилизовать оксидом этилена;
  • соответствует стандартам FDA (21 CFR 177.2601) и GLP;
  • ограничения — возможно выделение пластификаторов при разрушении;
  • устойчивость:
    • кислоты — хорошо;
    • щелочи — хорошо;
    • растворители — не совместимы;
    • давление — хорошо;
    • вакуум — хорошо;
    • вязкие растворы — хорошо;
    • стерильные растворы — хорошо.

Размеры трубок:

  • для одноканальных перистальтических насосов:
    • диаметр трубок внутренний/внешний, мм — 0,8/4; 1,7/4,9; 3,1/6,3; 4,8/8; 6,3/9,5; 4,8/9,8; 6,3/11,3; 7,9/12,9;
    • толщина стенки трубок, мм — 1,6 и 2,5.
  • для многоканальных перистальтических насосов:
    • диаметр трубок внутренний/внешний, мм — 0,25/2,05; 0,51/2,31; 0,89/2,69; 1,42/3,22; 2,79/4,59; 0,8/4; 1,7/4,9; 3,1/6,3; 4,8/8; 6,3/9,5;
    • толщина стенки трубок, мм — 0,9 и 1,6.

Размеры шлангов для перистальтических насосов и насосов-дозаторов подбираются специалистом Диаэм индивидуально в зависимости от модели насоса и требуемой скорости потока (мл/мин).

Скачать:
Таблица устойчивости материалов шлангов Heidolph к различным растворителям, англ., 1 стр., 55 kB

Tygon_hydrocarbons
  • Применение – для углеводородов, минеральных масел и продуктов перегонки, идеально для бензина, керосина, горячих масел, смазочно-охлаждающих эмульсий на основе гликоля;
  • устойчив к озону и ультрафиолетовому облучению;
  • материал — мягкий термопластичный ПВХ, прозрачный, жёлтый;
  • стабилен при температуре от -40 до +75 °С.
  • стерилизация не рекомендуется;
  • соответствует стандарту GLP.
  • Ограничения: не подходят для концентрированных щелочей, кислот, пищевых продуктов и фармацевтических субстанций
  • устойчивость:
    • кислоты — хорошо;
    • щелочи — хорошо;
    • растворители — условно совместимы;
    • давление — хорошо;
    • вакуум — хорошо;
    • вязкие растворы — отлично;
    • стерильные растворы — условно совместимы.

Размеры трубок:

  • для одноканальных перистальтических насосов:
    • диаметр трубок внутренний/внешний, мм — 0,8/4; 1,7/4,9; 3,1/6,3; 4,8/8; 6,3/9,5; 4,8/9,8; 6,3/11,3; 7,9/12,9;
    • толщина стенки трубок, мм — 1,6 и 2,5.
  • для многоканальных перистальтических насосов:
    • диаметр трубок внутренний/внешний, мм — 0,25/2,05; 0,51/2,31; 0,89/2,69; 1,42/3,22; 2,79/4,59; 0,8/4; 1,7/4,9; 3,1/6,3; 4,8/8; 6,3/9,5;
    • толщина стенки трубок, мм — 0,9 и 1,6.

Размеры шлангов для перистальтических насосов и насосов-дозаторов подбираются специалистом Диаэм индивидуально в зависимости от модели насоса и требуемой скорости потока (мл/мин).

Скачать:
Таблица устойчивости материалов шлангов Heidolph к различным растворителям, англ., 1 стр., 55 kB

400.350.хх

Шланг лабораторный применяется в фармацевтической промышленности и биологии.

Характеристики трубок

  • Материал силикон содержащий кремний с платиновым напылением;
  • гладкая внутренняя поверхность не допускает образования бактериальных заростов;
  • биосовместим, обладает минимальной адсорбцией и абсорбцией.

Артикул

Внутренний диаметр (мм)

Толщина стенки (мм)

Наружный диаметр (мм)

Упаковка

400.350.03

2

1,5

6

1 метр

400.350.05

3

1,5

7

1 метр

400.350.07

4

1,5

8

1 метр

400.350.09

5

1,5

9

1 метр

400.350.10

6

2

10

1 метр

400.350.12

6

1,5

10

1 метр

400.350.13

7

2

11

1 метр

400.350.14

7

1,5

11

1 метр

400.350.15

8

2

12

1 метр

400.350.17

9

2

13

1 метр

400.350.18

10

2

14

1 метр

400.350.20

12

2

16

1 метр

525-30024-00
• Силикон с платиновым напылением, рекомендуется для применения в фармацевитческой промышленности и биологии;
• Гладкая внутренняя поверхность не допускает образования бактериальных заростов;
• Биосовместим, обладает минимальной адсорбцией и абсорбцией;
• Стабилен при температуре от -80 до +200°С;
• Можно автоклавировать в течение 30 мин. при давлении пара 1 бар и стерилизовать облучением;
• Не пригодно для концентрированных растворителей, масел, кислот, а также каустической соды;
• Материал обладает сравнительно высокой газопроницаемостью;
• Подходит под стандарты GLP.
525-30025-00
• Силикон с платиновым напылением, рекомендуется для применения в фармацевитческой промышленности и биологии;
• Гладкая внутренняя поверхность не допускает образования бактериальных заростов;
• Биосовместим, обладает минимальной адсорбцией и абсорбцией;
• Стабилен при температуре от -80 до +200°С;
• Можно автоклавировать в течение 30 мин. при давлении пара 1 бар и стерилизовать облучением;
• Не пригодно для концентрированных растворителей, масел, кислот, а также каустической соды;
• Материал обладает сравнительно высокой газопроницаемостью;
• Подходит под стандарты GLP.
525-30026-00
• Силикон с платиновым напылением, рекомендуется для применения в фармацевитческой промышленности и биологии;
• Гладкая внутренняя поверхность не допускает образования бактериальных заростов;
• Биосовместим, обладает минимальной адсорбцией и абсорбцией;
• Стабилен при температуре от -80 до +200°С;
• Можно автоклавировать в течение 30 мин. при давлении пара 1 бар и стерилизовать облучением;
• Не пригодно для концентрированных растворителей, масел, кислот, а также каустической соды;
• Материал обладает сравнительно высокой газопроницаемостью;
• Подходит под стандарты GLP.
407.303.хх

Характеристики трубок

  • Материал — натуральный каучук (NR);
  • подходит для работы с вакуумом.

Артикул

Внутренний диаметр (мм)

Наружный диаметр (мм)

Упаковка

407.303.01

6

19

1 метр

407.303.02

8

22

1 метр

406.303.хх

Шланг лабораторный применяется в фармацевтической промышленности.

Характеристики трубок

  • Материал трубки натуральный каучук (NR);
  • диапазон рабочих температур, °С — от -20 до -70;
  • изготовлен из резины марки РСС-3;
  • имеет свойства сжигания и биоразложения.

Артикул

Внутренний диаметр (мм)

Толщина стенки (мм)


Наружный диаметр (мм)

Упаковка

406.303.01

4

1

6

10 метров

406.303.02

5

1,5

8

10 метров

406.303.03

6

1,5

9

10 метров

406.303.04

7

1,5

10

10 метров

406.303.05

8

1,5

11

10 метров

406.303.06

9

2

13

10 метров

406.303.07

10

2

14

10 метров

406.303.08

12

2

16

10 метров

4066
171 руб.
171 руб. RUB

Шланг (трубка) силиконовый, предназначен для транспортировки газов и жидкостей, изготовлен из сверхпрочного силикона, не поддается воздействию солнечных лучей, озона, сухости и влаги.

Характеристики шланга

  • Высокая стойкость к химическим реагентам: щелочам, кислотам, солям, перекиси водорода;
  • диапазон рабочих температур, °С — от -60 до +200;
  • длительный срок службы.

Продается на метры.

Размеры трубок:

  • диаметр трубок внутренний, мм — 1,0;
  • толщина стенки, мм — 1.
4067

Шланг (трубка) силиконовый, предназначен для транспортировки газов и жидкостей, изготовлен из сверхпрочного силикона, не поддается воздействию солнечных лучей, озона, сухости и влаги.

Характеристики шланга

  • Высокая стойкость к химическим реагентам: щелочам, кислотам, солям, перекиси водорода;
  • диапазон рабочих температур, °С — от -60 до +200 (кратковременно до +300);
  • выдерживает любые методы температурной стерилизации;
  • длительный срок службы.

Имеется регистрационное удостоверение Росздравнадзора.

Продается на метры.

Размеры трубок:

  • диаметр трубок внутренний, мм — от 1 до 26;
  • толщина стенки, мм — от 1 до 5;
  • длина, м — от 1.
4105
РУ
Регистрационное удостоверение на медицинское изделие Росздравнадзора
90 руб.
90 руб. RUB

Шланг (трубка) силиконовый, предназначен для транспортировки газов и жидкостей, изготовлен из сверхпрочного силикона, не поддается воздействию солнечных лучей, озона, сухости и влаги.

Характеристики шланга

  • Высокая стойкость к химическим реагентам: щелочам, кислотам, солям, перекиси водорода;
  • диапазон рабочих температур, °С — от -60 до +200 (кратковременно до +300);
  • выдерживает любые методы температурной стерилизации;
  • длительный срок службы.

Имеется регистрационное удостоверение Росздравнадзора.

Продается на метры.

Размеры трубок:

  • диаметр трубок внутренний, мм — от 1 до 26;
  • толщина стенки, мм — от 1 до 5;
  • длина, м — от 1.
Ваш заказ будет обработан
в ближайшее время.
Мы пришлем уведомление, как только все будет готово. Спасибо!