Top.Mail.Ru
kemerovo@dia-m.ru 8 (800) 234-05-08
+7 (923) 158-67-53
Ваш регион Москва?

Реактивы для хроматографии среднего давления. Реактивы и ферменты для получения рекомбинантных белков

13.10.2023
Широкий ассортимент реактивов для приготовления буферов, подготовки и нанесения образцов, промывки, элюции и очистки на месте (CIP) различных видов колонок.

Белковая хроматография среднего давления является эффективным методом разделения, очистки и анализа белковых соединений, таких как рекомбинантные белки и антитела.

В разделе представлен широкий ассортимент реактивов для приготовления буферов, подготовки и нанесения образцов, промывки, элюции и очистки на месте (CIP) различных видов колонок. Дополнительно в разделе представлены, необходимые для наработки продуцентов и экспрессии рекомбинантных белков в них. Все реактивы поддерживаются в наличии на складе Диаэм.

Если Вы не нашли необходимых реактивов в нашем списке, то свяжитесь с нами. Мы всегда готовы привезти специализированные реактивы и компоненты, соответствующие вашим потребностям.

Реактивы для приготовления хроматографических буферов

Трис(гидроксиметил)аминометан, CDH Буфер HEPES, NeoFroxx Этилендиаминтетраацетат, CDH

Информация для заказа:

Пока нет данных. Перейти в каталог
Доступность
  • На складе
  • В транзите
  • В транзите и на складе
  • Все товары
3350.0100
3350.0100
100 г
1 337, руб.
111 CNY
3350.1000
1 кг
13 386, руб.
1 111 CNY
3350.5000
5 кг
100 514, руб.
1 041,= EUR


CAS-No. 7365-45-9
Химическая формула C₈H₁₈N₂O₄S
Молекулярный вес 238,3
Содержание основного вещества не менее 99,5
Внешний вид белый порошок
pKa (25 °C) 7,55 ± 0,2
pH (5 % в воде) 5-6,5
Абсорбция A260 нм (1.0 М в воде) не более 0,12
Абсорбция A280 нм (1.0 М в воде) не более 0,10
Условия хранения комнатная температура
Индекс риска (R) 36/37/38
Индекс безопасности (S) 26/36
  • ХЕПЕС, не менее 99,5 %, для культуральных работ, Диаэм
10005172.0100
10005172.0100
100 г
386, руб.
4,= EUR
10005172.1000
1 кг
3 476, руб.
36,= EUR
10005172.5000
5 кг
18 732, руб.
194,= EUR
10005172.25000
25 кг
По запросу
По запросу
Синонимы: аминометанамид гидрохлорид, аминоформамид гидрохлорид, хлорид гуанидиния, гуанидин солянокислый, карбамидин гидрохлорид, Aminoformamidine hydrochloride, Aminomethanamidine hydrochloride, Guanidinium chloride, Guanidine hydrochloride, Carbamidine hydrochloride.


CAS-No. 50-01-1
Химическая формула CH₅N₃xHC
Молярный вес, г/моль 95,53
Содержание основного вещества, % не менее 98
Содержание хлорида аммония, % не более 0,5
Содержание воды, % не более 0,3
Содержание аммония хлорида, % не более 0,5
Мутность, NTU не более 5
Условия хранения: в сухом и прохладном месте
  • Гуанидин гидрохлорид, не менее 98,0%, 25 кг, Диаэм
140000279.0100
140000279.0100
100 г
1 352, руб.
14,= EUR
140000279.1000
1 кг
11 683, руб.
121,= EUR
140000279.5000
5 кг
56 485, руб.
585,= EUR

Гуанидин гидрохлорид Biopharmaceutical grade (ultrapure) используется в биофармацевтическом производстве (например, для выделения и экстракции моноклональных антител или рекомбинантных белков) , для диагностики ( например, в экстракционных буферах для выделения нуклеиновых кислот из биологических образцов, в тест-набора для вирусная РНК / ДНК)

Синонимы: аминометанамид гидрохлорид, аминоформамид гидрохлорид, хлорид гуанидиния, гуанидин солянокислый, карбамидин гидрохлорид, Aminoformamidine hydrochloride, Aminomethanamidine hydrochloride, Guanidinium chloride, Guanidine hydrochloride, Carbamidine hydrochloride.



CAS-No. 50-01-1
Химическая формула CH₅N₃xHC
Молярный вес, г/моль 95,53
Содержание основного вещества, % не менее 99,5
Содержание хлорида аммония, % не более 0,5
Растворимость (H2O) 5,1
Внешний вид бесцветные кристаллы
Точка плавления, ºС 183 – 188
рН (6 М в H2O) 4,5 - 7,0
Аммоний, % не более 0,05
Железо, мг/кг не более 1
Дициандиамид, % не более 1
Меламин, % не более 0,01
Вода, % не более 0,2
Условия хранения: в сухом и прохладном месте

  • Гуанидин гидрохлорид, не менее 99,5%, Biopharmaceutical grade, ultrapure, Импорт
044149.25 gm
25 г
транспортировка +4°C
15 976, руб.
194,= USD


Синонимы: реагент Клеланда, 2,3-дигидроксибутан-1,4-дитиол, 1,4-дитио-DLтреит(ол).
CAS-No. 3483-12-3
Химическая формула C₄H₁₀O₂S₂
Молекулярный вес, г/моль 154,24
Содержание основного вещества, % не менее 98
Внешний вид белый кристаллический порошок
Растворимость 0,1 М раствор в воде почти прозрачный и бесцветный
Диапазон плавления, °C 41-44
ДТТ окисленный (по абсорбции при 283 нм), % не более 1

Индекс опасности

Индекс опасности (H)
GHS07
  • Дитиотреитол-DL, не менее 98%, CDH
D3483123.0005
D3483123.0005
5 г
хранение +2...+8 в темноте, транспортировка +2...+8 в темноте
По запросу
По запросу
D3483123.0100
100 г
транспортировка +2...+8 °C
По запросу
По запросу


Синоним: DTT, реагент Клеланда
Химическая формула C₄H₁₀O₂S₂
Молярная масса 154,25
Внешний вид белый кристаллический порошок
Содержание основного вещества, % 99
Цвет белый
И.К. соответствует структуре и стандарту
ТСХ одно пятно
Окисленный DTT 0,09 %
Точка плавления 42 С°
Потеря при сушке,% менее 0,5
Раствор (5 % в Н2О) прозрачный, бесцветный
Условия хранения 2 - 8 °С, сухое, темное место

Индекс риска

R22Опасно при проглатывании
R36/37/38Раздражает глаза, органы дыхания и кожу
Индекс риска (R)
22-36/37/38

Индекс безопасности

S26В случае попадания в глаза немедленно промыть глаза большим количеством воды и обратиться за медицинской помощью
S36Наденьте соответствующую защитную одежду
Индекс безопасности (S)
26-36

Индекс опасности

Индекс опасности (H)
302-315-319-335

Индекс предупреждения

Индекс предупреждения (P)
261-264-270-271-280-301+312+330-302+352-304+340+312-305+351+338-332+313-362-403+233-501

Символы опасности

Символы опасности
Острая токсичность
  • Дитиотреитол-DL
1111GR025
По запросу
По запросу
CDH, Индия

Имидазол, CAS 288-32-4, 99,5%, AR/ACS

546015.100 gm
546015.100 gm
100 г
хранение +4°C, транспортировка +4°C
1 010, руб.
12,= USD
546015.500 gm
500 г
хранение +4°C, транспортировка +4°C
3 847, руб.
47,= USD


CAS-No. 288-32-4
Химическая формула C₃H₄N₂
Молекулярная масса, г/моль 68.08
Внешний вид Кристаллический порошок от белого до бледно-желтого цвета
Содержание основного вещества, % 99,5
рН 9,5-11,0
Диапазон температуры кипения, °С 89-91
Вода (по К.Фишеру), % 0,2
Хлориды, % 0,005
Сульфаты, % 0,005
Уксусная кислота, % 0,02
Кальций, % 0,001
Медь, % 0,0005
Железо, % 0,0001
Свинец, % 0,0005

Индекс риска

R22Опасно при проглатывании
R36/37/38Раздражает глаза, органы дыхания и кожу
Индекс риска (R)
22-36/37/38

Индекс безопасности

S26В случае попадания в глаза немедленно промыть глаза большим количеством воды и обратиться за медицинской помощью
S36Наденьте соответствующую защитную одежду
Индекс безопасности (S)
26-36

Индекс опасности

Индекс опасности (H)
302-315-319-335

Индекс предупреждения

Индекс предупреждения (P)
261-264-270-271-280-301+312+330-302+352-304+340+312-305+351+338-332+313-362-403+233-501

Символы опасности

Символы опасности
Острая токсичность
  • Имидазол AR/ACS | 288-32-4, 99,5%
1460KG001
1460KG001
1 кг
По запросу
По запросу
1460KG005
5 кг
По запросу
По запросу


Синонимы: 1,3-Диаза-2,4-циклопентадиен, глиоксалин
CAS-No. 288-32-4
Химическая формула C₃H₄N₂
Молекулярный вес, г/моль 68,08
Содержание основного вещества, % не менее 99
Внешний вид Кристаллический порошок от белого до бледно-желтого цвета
Вода, % не более 0,5
Хлориды, % не более 0,05
Тяжелые металлы, % не более 0,001
Сульфаты, % не более 0,05
Температура плавления, °C 87-91

Индекс риска

R22Опасно при проглатывании
R36/37/38Раздражает глаза, органы дыхания и кожу
Индекс риска (R)
22-36/37/38

Индекс безопасности

S26В случае попадания в глаза немедленно промыть глаза большим количеством воды и обратиться за медицинской помощью
S36Наденьте соответствующую защитную одежду
Индекс безопасности (S)
26-36

Индекс опасности

Индекс опасности (H)
302-315-319-335

Индекс предупреждения

Индекс предупреждения (P)
261-264-270-271-280-301+312+330-302+352-304+340+312-305+351+338-332+313-362-403+233-501

Символы опасности

Символы опасности
Острая токсичность
  • Имидазол для биохимии, NeoFroxx, Германия
027790.100 gm
027790.100 gm
100 г
1 992, руб.
24,= USD
027790.500 gm
500 г
9 216, руб.
112,= USD


CAS-No. 7791-13-1
Химическая формула CoC₁₂.6H₂O
Молекулярная масса, г/моль 237,93
Внешний вид Кристаллы рубиново-красного цвета
Содержание основного вещества, % 98,0
Сульфаты, % 0,03
Никель, % 0,3
Железо, % 0,01

Индекс риска

R22Опасно при проглатывании
R36/37/38Раздражает глаза, органы дыхания и кожу
Индекс риска (R)
22-36/37/38

Индекс безопасности

S26В случае попадания в глаза немедленно промыть глаза большим количеством воды и обратиться за медицинской помощью
S36Наденьте соответствующую защитную одежду
Индекс безопасности (S)
26-36

Индекс опасности

Индекс опасности (H)
302-315-319-335

Индекс предупреждения

Индекс предупреждения (P)
261-264-270-271-280-301+312+330-302+352-304+340+312-305+351+338-332+313-362-403+233-501

Символы опасности

Символы опасности
Острая токсичность
  • Кобальт (II) хлорид
LC-10007.1
LC-10007.1
500 г
2 607, руб.
27,= EUR
LC-10007.3
5 кг
По запросу
По запросу
Товар временно недоступен. Аналог: TC1180M, CDH, Индия; 671815.25 kg, CDH, Индия.


Синонимы: карбамид, карбонилдиамид.


CAS-No. 57-13-6
Химическая формула CH₄N₂O
Молекулярный вес, г/моль 60,06
Внешний вид кристаллы белого цвета
Содержание основного вещества, % 99-100,5
Потери при высушивании,% не более 1
Температура плавления, °C 132,5 – 134,5
Остаток при прокаливании, % не более 0,002
Растворимость, г/л 1000
Нерастворимые вещества, % не более 0,01
Аммоний, % не более 0,05
Хлориды, % не более 0,007
Сульфаты, % не более 0,01
Тяжелые металлы, % не более 0,0003
Сульфатная зола (600°C), % не более 0,1

Индекс риска

R22Опасно при проглатывании
R36/37/38Раздражает глаза, органы дыхания и кожу
Индекс риска (R)
22-36/37/38

Индекс безопасности

S26В случае попадания в глаза немедленно промыть глаза большим количеством воды и обратиться за медицинской помощью
S36Наденьте соответствующую защитную одежду
Индекс безопасности (S)
26-36

Индекс опасности

Индекс опасности (H)
302-315-319-335

Индекс предупреждения

Индекс предупреждения (P)
261-264-270-271-280-301+312+330-302+352-304+340+312-305+351+338-332+313-362-403+233-501

Символы опасности

Символы опасности
Острая токсичность
  • Мочевина кристаллическая, pure EP, USP (pharma grade), NeoFroxx, Германия, 5 кг
3843.1000
3843.1000
1 кг
192, руб.
192, руб. RUB
3843.5000
5 кг
880, руб.
880, руб. RUB
3843.15000
15 кг
По запросу
По запросу


CAS-No 57-13-6
Химическая формула CH₄N₂O
Молекулярная масса, г/моль 60,06
Массовая доля основного вещества, %, 99,8
Температура плавления, °C 131,7-133,7
Массовая доля нерастворимых в воде веществ, % 0,03
Массовая доля остатка после прокаливания (в виде сульфатов), %, не более 0,01
Массовая доля сульфатов (SO₄), % 0,001
Массовая доля хлоридов (Сl), % 0,0005
Массовая доля железа (Fe), % 0,0001
Массовая доля свинца, % 0,0002
Массовая доля свободного аммиака, % 0,005
Массовая доля биурета, % 0,1

Индекс риска

R22Опасно при проглатывании
R36/37/38Раздражает глаза, органы дыхания и кожу
Индекс риска (R)
22-36/37/38

Индекс безопасности

S26В случае попадания в глаза немедленно промыть глаза большим количеством воды и обратиться за медицинской помощью
S36Наденьте соответствующую защитную одежду
Индекс безопасности (S)
26-36

Индекс опасности

Индекс опасности (H)
302-315-319-335

Индекс предупреждения

Индекс предупреждения (P)
261-264-270-271-280-301+312+330-302+352-304+340+312-305+351+338-332+313-362-403+233-501

Символы опасности

Символы опасности
Острая токсичность
  • Мочевина, 99,8 %, чда, ХлоренХима
CDH, Индия

Натрий ацетат, CAS 127-09-3, 98%

030104.500 gm
500 г
776, руб.
9,= USD


CAS-No. 127-09-3
Химическая формула CH₃COONa
Молекулярная масса, г/моль 82,03
Внешний вид Белый крупнозернистый порошок
Содержание основного вещества, % 98
Хлориды, % 0,02
Сульфаты, % 0,03
Железо, % 0,002
Свинец, % 0,002

Индекс риска

R22Опасно при проглатывании
R36/37/38Раздражает глаза, органы дыхания и кожу
Индекс риска (R)
22-36/37/38

Индекс безопасности

S26В случае попадания в глаза немедленно промыть глаза большим количеством воды и обратиться за медицинской помощью
S36Наденьте соответствующую защитную одежду
Индекс безопасности (S)
26-36

Индекс опасности

Индекс опасности (H)
302-315-319-335

Индекс предупреждения

Индекс предупреждения (P)
261-264-270-271-280-301+312+330-302+352-304+340+312-305+351+338-332+313-362-403+233-501

Символы опасности

Символы опасности
Острая токсичность
  • Натрий ацетат / Sodium Acetate Anhydrous, 98,0%, CDH
LC-5061.3
LC-5061.3
500 г
По запросу
По запросу
LC-5061.2
5 кг
По запросу
По запросу
Товар временно недоступен. Аналог: 984350.500 gm, CDH, Индия.



Синоним: натрий уксуснокислый 3-водный.


CAS-No. 6131-90-4
Химическая формула C₂H₃NaO₂×3H₂O
Молекулярный вес, г/моль 136,08
Содержание основного вещества, % не менее 99,0-101,0
Нерастворимые вещества, % не более 0,005
pH (5% в воде) 7,5-9,0
Хлориды, % не более 0,0005
Фосфаты, % не более 0,0002
Сульфаты, % не более 0,002
Общий азот, % не более 0,001
Тяжелые металлы, % (свинец) не более 0,0005
Алюминий, % не более 0,0005
Мышьяк, % не более 0,0002
Кальций, % не более 0,001
Медь, % не более 0,0003
Железо, % не более 0,0005
Калий, % не более 0,005
Магний, % не более 0,0005
Потери при сушке (130 °С), % 39,0-40,5

Индекс риска

R22Опасно при проглатывании
R36/37/38Раздражает глаза, органы дыхания и кожу
Индекс риска (R)
22-36/37/38

Индекс безопасности

S26В случае попадания в глаза немедленно промыть глаза большим количеством воды и обратиться за медицинской помощью
S36Наденьте соответствующую защитную одежду
Индекс безопасности (S)
26-36

Индекс опасности

Индекс опасности (H)
302-315-319-335

Индекс предупреждения

Индекс предупреждения (P)
261-264-270-271-280-301+312+330-302+352-304+340+312-305+351+338-332+313-362-403+233-501

Символы опасности

Символы опасности
Острая токсичность
  • Натрий ацетат 3-водный, p.A. 99,0-101,0%, Neofroxx, Германия, 500 г
1792GR500
1792GR500
500 г
По запросу
По запросу
1792KG001
1 кг
По запросу
По запросу
Товар временно недоступен. Аналог: 641225, CDH, Индия


CAS-No. 127-09-3
Химическая формула CH₃COONa
Молекулярный вес, г/моль 82,03
Содержание основного вещества, % не менее 99,0
pH (5,0 % в воде, 20°С) не менее 7,5-9,5
Хлориды, % не более 0,001
Фосфаты, % не более 0,0005
Сульфаты, % не более 0,005
Алюминий, % не более 0,001
Кальций, % не более 0,001
Медь, % не более 0,0003
Железо, % не более 0,0005
Магний, % не более 0,0005
Свинец, % не более 0,0001

Индекс риска

R22Опасно при проглатывании
R36/37/38Раздражает глаза, органы дыхания и кожу
Индекс риска (R)
22-36/37/38

Индекс безопасности

S26В случае попадания в глаза немедленно промыть глаза большим количеством воды и обратиться за медицинской помощью
S36Наденьте соответствующую защитную одежду
Индекс безопасности (S)
26-36

Индекс опасности

Индекс опасности (H)
302-315-319-335

Индекс предупреждения

Индекс предупреждения (P)
261-264-270-271-280-301+312+330-302+352-304+340+312-305+351+338-332+313-362-403+233-501

Символы опасности

Символы опасности
Острая токсичность
  • Натрий ацетат безводный, для молекулярной биологии, не менее 99%, Германия, NeoFroxx, 1кг
030103.500 gm
030103.500 gm
500 г
470, руб.
6,= USD
030103.5 kg
5 кг
3 080, руб.
37,= USD


CAS-No. 6131-90-4
Химическая формула CH₃COONa×3H₂O
Молекулярная масса, г/моль 136,08
Внешний вид Бесцветные кристаллы/кристаллический порошок
Содержание основного вещества, % 99,0-102,0
Хлориды, % 0,005
Сульфаты, % 0,02
Свинец, % 0,002
Железо, % 0,002

Индекс риска

Индекс риска (R)
Не опасен
  • Натрий ацетат тригидрат, 99,0-102,0%, CDH
642985.500 gm
642985.500 gm
500 г
1 245, руб.
15,= USD
642985.5 kg
5 кг
10 157, руб.
123,= USD


CAS-No. 13472-35-0
Химическая формула NaH₂PO₄×2H₂O
Молекулярная масса, г/моль 156,01
Внешний вид Белый кристаллический порошок
Содержание основного вещества, % 98-100,5
рН 4,2-4,5
Хлориды, % 0,001
Сульфаты, % 0,005
Мышьяк, % 0,0002
Кальций, % 0,005
Медь, % 0,0005
Свинец, % 0,0005
Железо, % 0,001
Магний, % 0,005

Индекс риска

Индекс риска (R)
Не опасен
  • Натрий фосфорнокислый 1-зам. 2-вод./ Sodium Dihydrogen Ortho Phosphate Dihydrate, 98.0-100.5%, AR, Индия
LC-4353.1
LC-4353.1
500 г
По запросу
По запросу
LC-4353.2
1 кг
5 793, руб.
60,= EUR
LC-4353.3
5 кг
По запросу
По запросу

Товар временно недоступен. Аналог: 219515, CDH, Индия.



Синоним: натрий фосфат 1-замещенный, 2-водный.



CAS-No. 13472-35-0
Химическая формула NaH₂PO₄×2H₂O
Молекулярный вес, г/моль 156,01
Содержание основного вещества, % не менее 98,0-101,0
Нерастворимые вещества, % не более 0,15
pH (1,0 % в воде) 4,1-4,7
pH (5,0 % в воде) 4,2-4,5
pH (5,7 % в воде) 4,1-4,5
Хлориды, % не более 0,005
Фториды, % не более 0,001
Гидрогенфосфаты, % не более 0,5
Тяжелые металлы, % (свинец) не более 0,0005
Мышьяк, % не более 0,0001
Кадмий, % не более 0,0001
Железо, % не более 0,001
Ртуть, % не более 0,0001
Свинец, % не более 0,0001

Индекс риска

Индекс риска (R)
Не опасен
  • Натрий фосфорнокислый 1-замещенный, 2-водный
029329.500 gm
029329.500 gm
500 г
2 629, руб.
32,= USD
029329.1 kg
1 кг
4 926, руб.
60,= USD


CAS-No. 10101-97-0
Химическая формула NiSO₄×6H₂O
Молекулярная масса, г/моль 262,85
Внешний вид Изумрудно-зеленые кристаллы/кристаллический порошок
Содержание основного вещества, % 98,0
Никель, % 21,9
Хлориды, % 0,01
Кобальт, % 0,05
Железо, % 0,02
Свинец, % 0,02

Индекс риска

Индекс риска (R)
GHS07, GHS08, GHS09
  • Никель (II) сульфат, 6-водный, 98,0%, CDH
3354.1000
3354.1000
1 кг
18 442, руб.
191,= EUR
3354.25000
25 кг
419 144, руб.
4 341,= EUR
Синонимы: 2-Амино-2-(гидроксиметил)-1,3-пропандиол, 2-Амино-2-(гидроксиметил)-пропан-1,3-диол, Трис-буфер, Трометамол, 2-Amino-2-(hydroxymethyl)-1,3-propanediol, 2-Amino-2-(hydroxymethyl)-propane-1,3-diol, THAM, Tris base, Trometamol.


CAS-No. 77-86-1
Химическая формула C₄H₁₁NO₃
Молекулярный вес 121,14
Содержание основного вещества 99,9%
Внешний вид кристаллы белого цвета
Точка плавления, °C 168-172
pH (5% в воде) 10,0-11,5
Сульфаты не более 0, 1%
Тяжелые металлы не более 2 ppm
Железо не более 5 ppm
Хлориды не более 10 ppm
Содержание воды, % не более 0,5%
Эндотоксины не более 0,01 ед/мг
Абсорбция A290 нм (40% в воде) не более 0,1
Условия хранения комнатная температура
Индекс риска (R) 36/37/38
Индекс безопасности (S) 26/36

Индекс риска

Индекс риска (R)
GHS07, GHS08, GHS09
  • Трис(гидроксиметил)аминометан, 99,9 %, MBG, для молекулярной биологии, Диаэм
3355.0100
3355.0100
100 г
1 931, руб.
20,= EUR
3355.0500
500 г
10 114, руб.
105,= EUR
3355.1000
1 кг
14 483, руб.
150,= EUR
3355.5000
5 кг
По запросу
По запросу
3355.25000
25 кг
По запросу
По запросу
Синонимы: 2-Амино-2-(гидроксиметил)-1,3-пропандиол, 2-Амино-2-(гидроксиметил)-пропан-1,3-диол, Трис-буфер, Трометамол, 2-Amino-2-(hydroxymethyl)-1,3-propanediol, 2-Amino-2-(hydroxymethyl)-propane-1,3-diol, THAM, Tris base, Trometamol.


CAS-No. 77-86-1
Химическая формула C₄H₁₁NO₃
Молекулярный вес 121,14
Содержание основного вещества 99,0-100,5%,
Внешний вид кристаллы белого цвета
Точка плавления, °C 168-172
pH (5 % в воде) 10,0-11,5
Сульфаты не более 0, 1 %
Тяжелые металлы не более10 ppm
Железо не более 5 ppm
Хлориды не более 10 ppm
Содержание воды, % не более 0, 5%
Абсорбция A290 нм (40 % в воде) не более 0,1
Абсорбция A260 нм (10 % в воде) не более 0,03
Абсорбция A280 нм (10 % в воде) не более 0,02
Абсорбция A430 нм (10 % в воде) не более 0,004
Условия хранения комнатная температура
Индекс риска (R) 36/37/38
Индекс безопасности (S) 26/36

Индекс риска

Индекс риска (R)
GHS07, GHS08, GHS09
  • Трис(гидроксиметил)аминометан, 99,0-100,5 %, USP, Ph.Eur, Диаэм
3353.0100
3353.0100
100 г
По запросу
По запросу
3353.0500
500 г
По запросу
По запросу
3353.1000
1 кг
13 180, руб.
137,= EUR
3353.5000
5 кг
По запросу
По запросу
3353.25000
25 кг
По запросу
По запросу


CAS-No. 77-86-1
Химическая формула C₄H₁₁NO₃
Молекулярный вес 121,14
Содержание основного вещества не менее 99%
Внешний вид кристаллы белого цвета
Точка плавления, °C 168-172
Содержание воды, % не более 1%
Условия хранения комнатная температура
Индекс риска (R) 36/37/38
Индекс безопасности (S) 26/36

Индекс риска

Индекс риска (R)
GHS07, GHS08, GHS09
  • Трис(гидроксиметил)аминометан, 99,0 %, Диаэм
CDH, Индия

Цинк хлорид, CAS 7646-85-7, 97,0%

030605.1 kg
1 кг
1 771, руб.
22,= USD


CAS-No. 7646-85-7
Химическая формула ZnCl2
Молекулярная масса, г/моль 136,29
Внешний вид Белый кристаллический гироскопичный порошок
Содержание основного вещества, % 97,0
Аммоний, % 0,3
Сульфаты, % 0,05
Железо, % 0,005
Свинец, % 0,005

Индекс риска

Индекс риска (R)
GHS05, GHS07, GHS09
  • Цинк хлорид, 97,0%, CDH
695505.500 gm
500 г
1 460, руб.
18,= USD


CAS-No. 7646-85-7
Химическая формула ZnCl₂
Молекулярная масса, г/моль 136,29
Внешний вид Белый кристаллический гироскопичный порошок
Содержание основного вещества, % 98,0
Аммоний, % 0,005
Сульфаты, % 0,01
Железо, % 0,001
Свинец, % 0,005
Нитраты, % 0,003
Магний, % 0,01
Кальций, % 0,06
Натрий, % 0,05
Калий, % 0,02

Индекс риска

Индекс риска (R)
GHS05, GHS07, GHS09
  • Цинк хлорид, AR/ACS, 98,0%, CDH
ME.0500
ME.0500
500 г
567, руб.
567, руб. RUB
ME.5000
5 кг
1 800, руб.
1 800, руб. RUB
ME.25000
25 кг
По запросу
По запросу


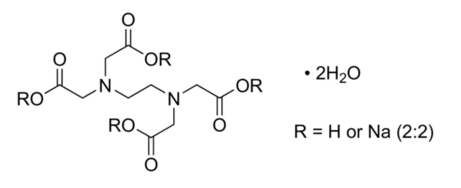
CAS-No. 6381-92-6
Химическая формула C₁₀H₁₄N₂Na₂O₈x2H₂O
Молярный вес, г/моль 372,24
Содержание основного вещества, % >98,5
Нерастворимое вещество, % 0,02
Железо, % Менее 0,0005
Медь, % Менее 0,005
Тяжелые металлы, % Менее 0,005
рН раствора с массовой долей 0,5% 4,0-5,0

Индекс риска

Индекс риска (R)
GHS05, GHS07, GHS09
  • ЭДТА динатриевая соль (Трилон Б), 99,3%, Россия
1669KG001
1 кг
11 780, руб.
122,= EUR
Товар временно недоступен. Аналог: 932500.500 gm, CDH, Индия


CAS-No. 60-00-4
Химическая формула C₁₀H₁₆N₂O₈
Молекулярный вес 292,2
Внешний вид белый порошок без запаха
pH (вода: 10 г/л , 23 °C) 2,5
Температура плавления/замерзания, °C 220
Температура вспышки, °C не менее 400
Растворимость в воде 400 мг/л при 20 °C
n-октанол/вода 0,13

Индекс риска

Индекс риска (R)
GHS05, GHS07, GHS09
  • ЭДТА, для биохимии, neoFroxx
523495.500 gm
500 г
2 159, руб.
26,= USD


CAS-No. 60-00-4
Химическая формула C₁₀H₁₆N₂O₈
Молекулярная масса, г/моль 292,25
Внешний вид Белый кристаллический порошок
Содержание основного вещества, % 99,0
Хлориды, % 0,02
Сульфаты, % 0,01
Кальций, % 0,05
Медь, % 0,0005
Железо, % 0,0005
Свинец, % 0,0005
Магний, % 0,005

Индекс риска

Индекс риска (R)
GHS07
  • Этилендиаминтетрауксусная кислота (ЭДТА), AR, 99%, CDH

Неионные поверхностно-активные вещества для хроматографии (детергенты)

Твин 20, для молекулярной биологии, CDH Ecosurf SA-9, для биохимии, Applichem Твин 80, USP, CDH

Информация для заказа:

Пока нет данных. Перейти в каталог
Доступность
  • На складе
  • В транзите и на складе
  • Все товары
3599.0500/2268ML500
500 мл
5 793, руб.
60,= EUR

Детергент (сурфактант, ПАВ) Ecosurf SA-9 – это неионогенный биоразлагаемый детергент (ПАВ) из масла семян, содержащее 55-80% C6-C12 и 15-40% C10-C16 этоксилированных пропоксилированных спиртов.

Синонимы: спирты этоксилированные пропоксилированные, этоксилат спирта растительного масла 9 EO.




CAS-No. 68937-66-6
Внешний вид прозрачная вязкая жидкость от бесцветного до светло-желтоватого цвета
Плотность (40 °С), г/см³ 0,9812
Температура кипения, °С более 250
Точка возгорания, °С 240
Температура помутнения (1% р-р в воде), °С 55-60
Содержание воды, % менее 0,5
рН (1% р-ра) 5-8
Вязкость (40 °С), мПас 30,07
Условия хранения ниже 25°С
923600.100 ml
923600.100 ml
100 мл
6 628, руб.
80,= USD
923600.5X100 ml
5×100 мл
26 569, руб.
323,= USD


Синоним: монтанокс 20, полисорбат 20.
CAS-No. 9005-64-5
Химическая формула C₅₈H₁₁₄O₂₆
Молекуляный вес, г/моль 1227,72
Описание Прозрачная вязкая жидкость от желтого до желто-зеленого цвета.
Растворимость 10% раствор в воде представляет собой прозрачную жидкость желтого или желтого цвета.
pH (1% водный раствор) 5-7
Плотность (при 25 °C) 1,095
Показатель преломления (n)²⁰ 1,468
ДНК-азы/РНК-азы/протеазы Не обнаружены
  • Твин 20, для молекулярной биологии
LC-11588.2
LC-11588.2
500 мл
По запросу
По запросу
LC-11588.1
1 л
7 724, руб.
80,= EUR
LC-11588.3
5 л
По запросу
По запросу
Товар временно недоступен. Аналог: 056270.500 ml, CDH, Индия


Синонимы: полисорбат 20, монолаурат полиоксиэтиленсорбитана.
CAS-No. 9005-64-5
Химическая формула C₅₈H₁₁₄O₂₆
Молекулярный вес, г/моль 1227,72
Содержание основного вещества, % не менее 97-100,5
Остаток при воспламенении (в виде SO4), % не более 0,2
Гидроксильное значение 96-108
Йодное число не более 5
Пироксидное число не более 5
Омыление 40-50
Состав жирных кислот тест пройден
Полный пепел не более 0,25
Остаточные растворители (EP/USP) тест пройден
1,4-диоксан, % не более 0,001
C10 (каприновая кислота), % не более 10
С12 (лауриновая кислота), % не более 40-60
С14 (миристиновая кислота), % не более 14-25
С16 (пальмитиновая кислота), % не более 7-15
С18 (линолевая кислота), % не более 3
C18 (олеиновая кислота), % не более 11
C18 (стеариновая кислота), % не более 7
С6 (капроновая кислота), % не более 1
C8 (каприловая кислота), % не более 10
Окись этилена, % не более 0,0001
Вода (по Карлу Фишеру), % не более 3
Цвет по Гарднеру не более 6
  • Твин 20, pure EP, USP, NeoFroxx, Германия
8506LT001
1 л
6 759, руб.
70,= EUR
Товар временно недоступен. Аналог: 923600, CDH, Индия



Синоним: полиэтиленгликоль сорбитанмонолаурат, полиоксиэтиленсорбитан монолаурат.
CAS-No. 9005-64-5
Химическая формула C₅₈H₁₁₄O₂₆
Молекулярный вес, г/моль 12270,72
Внешний вид вязкая жидкость
СМС (25°C, моль/л 5,9×10⁻⁵
Плотность (d 20°C/4°C) 1,095 – 1,105
Омыление 40-50
Точка кипения, °C > 100
Цвет по Гарднеру макс. 6
Условия хранения ниже 25°C, в защищенном от света месте

Индекс безопасности

Индекс безопасности (S)
7/8
  • Твин 20, neoFroxx
8506ML100
100 мл
По запросу
По запросу
Товар временно недоступен. Аналог: 923600, CDH, Индия


Синоним: монтанокс 20, полисорбат 20.
CAS-No. 9005-64-5
Химическая формула C₅₈H₁₁₄O₂₆
Молекуляный вес, г/моль 1227,72
ДНК-азы/РНК-азы/протеазы не обнаружены
Плотность (d 20 °C / 4 °C) 1,095-1,105
Гидроксильное число, мг KOH/г почти 100
Омыление 40-50
CMC (25 °C), мол/л 5,9 x 10⁻⁵
Растворимость (25 °C в воде), г/л 100
Точка кипения, °C не менее 100
Вязкость (20°C, 50% в воде), мПа×с 210-262
Медь, % не более 0,0001
Железо, % не более 0,0001
Свинец, % не более 0,0001

Индекс безопасности

Индекс безопасности (S)
7/8
  • Твин 20, для молекулярной биологии, Германия, NeoFroxx, 250 мл
CDH, Индия

Твин 80, USP

056023.500 ml
056023.500 ml
500 мл
1 577, руб.
19,= USD
056023.2.5 lit
2,5 л
6 776, руб.
82,= USD


рН 6,0-8,0
Специфическое вращение α20°C/D 1.471 -1.473
Гидроксильное число 65 - 80
Иодное число 18 - 24
Вода, % 3,0
Свинец, % 0,001
Мышьяк, % 0,002
Перекисное число 10
Окисное число, % 0,0001
Диоксан, % 0,001

Индекс безопасности

Индекс безопасности (S)
7/8
  • Нет фото
LC-10054.2
LC-10054.2
500 мл
По запросу
По запросу
LC-10054.1
1 л
По запросу
По запросу
Товар временно недоступен. Аналог: 056300, CDH, Индия


Синоним: полисорбат 80.
CAS-No. 9005-65-6
Химическая формула C₆₄H₁₂₄O₂
Молекуляный вес, г/моль 1309,66
Содержание основного вещества, % не менее 98,5-101,0
Гидроксильное число, мг KOH/г 65-80
1,4-диоксан, % не более 0,001
C14 (миристиновая кислота), % не более 5,0
C16 (пальмитиновая кислота), % не более 16,0
C16 (пальмитолеиновая кислота), % не более 8,0
C18 (линоленовая кислота), % не более 4,0
C18 (линолевая кислота), % не более 18,0
C18 (олеиновая кислота), % Не менее 58,0 и не более 85.0
C18 (стеариновая кислота), % не более 6,0
Окись этилена не более, % не более 0,0001 % (пересмотрено)
Вода (по Карлу Фишеру), % не более 3,0
Цвет по Гарднеру макс. 10 не более 10

Индекс риска

R36/37/38Раздражает глаза, органы дыхания и кожу
R37/38Раздражает органы дыхания и кожу
Индекс риска (R)
22-36/37/38-37/38-41
  • Твин 80, pure EP (pharma grade), NeoFroxx, Германия, 500 мл
923500.100 ml
923500.100 ml
100 мл
1 370, руб.
17,= USD
923500.500 ml
500 мл
7 200, руб.
87,= USD
Синонимы: 4-(1,1,3,3-тетраметилбутил)фенил-полиэтиленгликоль, t-Октилфеноксиполиэтоксиэтанол, полиэтиленгликоль трет-октилфениловый эфир, алкилфенол гидроксиполиэтилен, 4-(1,1,3,3-Tetramethylbutyl)phenyl-polyethylene glycol solution, t-Octylphenoxypolyethoxyethanol, Polyethylene glycol tert-octylphenyl ether, Alkylphenol hydroxypolyethylene.


CAS-No. 9002-93-1
Химическая формула C₃₄H₆₂O₁₁
Молекулярная масса, г/моль 646.87
Внешний вид Прозрачная бесцветная жидкость
Содержание основного вещества, % 98,0 – 102,0
Вода, % 0,2
Хлориды, % 0,005
Сульфаты, % 0,005
Натрий, % 0,1
Свинец, % 0,0005
Железо, % 0,0005
Калий, % 0,05

Индекс риска

R36/37/38Раздражает глаза, органы дыхания и кожу
R37/38Раздражает органы дыхания и кожу
Индекс риска (R)
22-36/37/38-37/38-41
  • Тритон Х-100 для молекулярной биологии / Criton™ X100 for Molecular Biology, 500 мл, CDH, Индия
MP Biomedicals

Тритон X-100, CAS 9002-93-1, не менее 99%

04807423
04807423
100 мл
7 000, руб.
7 000, руб. RUB
04807426
500 мл
14 286, руб.
14 286, руб. RUB
04807427
4 л
30 000, руб.
30 000, руб. RUB

Тритон Х-100 – это неионогенный детергент. Используется в биохимии и молекулярной биологии для выделения мембранных белков, также в электрофорезе.

Синонимы: 4-(1,1,3,3-тетраметилбутил)фенил-полиэтиленгликоль, t-Октилфеноксиполиэтоксиэтанол, полиэтиленгликоль трет-октилфениловый эфир, алкилфенол гидроксиполиэтилен, 4-(1,1,3,3-Tetramethylbutyl)phenyl-polyethylene glycol solution, t-Octylphenoxypolyethoxyethanol, Polyethylene glycol tert-octylphenyl ether, Alkylphenol hydroxypolyethylene.

С января 2021 года, согласно Приложению XIV к регламенту REACH, продукты, содержащие октилфенолэтоксилаты (OPE) и нонилфенолэтоксилаты (NPE), больше не могут использоваться, если нет официального разрешения или если предполагаемое использование не подлежит разрешению.



CAS-No. 9002-93-1
Химическая формула C₃₃H₆₀O₁₀.₅
Молекулярная масса, г/моль 624
Содержание основного вещества, % не менее 99
Плотность, г/см³ 1,065
Внешний вид вязкая прозрачная жидкость
Температура кипения, °С 270
Точка возгорания, °С 251
Температура плавления, °С 6
Температура помутнения (1% р-р в воде), °С 63-69
Показатель измерение растворимости веществ 13,5 ( >10 : водорастворимый (нерастворимый в липидах)
рН (5% р-ра) 5-8
Вязкость (25 °С), мПас 240
Условия хранения комнатная температура

Индекс риска

R36/37/38Раздражает глаза, органы дыхания и кожу
R37/38Раздражает органы дыхания и кожу
Индекс риска (R)
22-36/37/38-37/38-41
  • Тритон Х-100

Ферменты для работы с рекомбинантными белками и клеточными лизатами

Коктейль ингибиторов протеаз, 50×, 250 мкл, ServiceBio Ферменты для работы с рекомбинантными белками и клеточными лизатами

Информация для заказа:

Пока нет данных. Перейти в каталог
Доступность
  • На складе
  • В транзите и на складе
  • Все товары
3548.0025
3548.0025
25 000 ед.
хранение -20°C
По запросу
По запросу
3548.0250
250 000 ед.
хранение -20°C
45 000, руб.
45 000, руб. RUB
Бензонуклеаза — это нуклеаза, расщепляющая все формы как ДНК, так и РНК (одноцепочечные, двухцепочечные, линейные и кольцевые). Фермент эффективен в широком диапазоне рабочих условий. Оптимальное значение pH для активности фермента составляет от 8,0 до 9,2. Бензонуклеаза гидролизует фосфодиэфирные связи, что приводит к образованию олигодезоксинуклеотидов с концевыми 5’-монофосфатами длиной 3-5 оснований.

Применение:

Бензонуклеаза идеальна для широкого спектра применений, где желательно полное расщепление нуклеиновых кислот:

  • для гидролиза природных или денатурированных нагреванием ДНК и РНК;
  • для удаления нуклеиновых кислот во время экстракции белка: бензонуклеаза уменьшает вязкость образца и облегчает последующие операции по очистке рекомбинантного белка или экстракции белка из образцов клеток тканей;
  • для удаления нуклеиновой кислоты из клеточного или бактериального лизата, снижения вязкости раствора и увеличения выхода белка;
  • для удаления примесей нуклеиновых кислот из препаратов рекомбинантного белка для подготовки образцов для двумерного гель-электрофореза белков;
  • для предотвращения слипания клеток в клеточной смеси;
  • для расщепление нуклеиновых кислот для облегчения получения высококачественных телец включения перед ренатурацией нерастворимых белков;
  • для удаления загрязнения ДНК при приготовлении проб вакцины и вируса.

Единица активности.

За единицу активности бензонуклеазы принимают количество фермента, превращающего 50 мкг ДНК спермы лосося в нуклеотиды за 30 минут при 37 °C в реакционном буфере: 50 мМ Трис-HСl, pH 8,0 и 1 мМ MgCl₂.

CAS No 9025-65-4
Чистота ≥ 90% (SDS-PAGE)
Концентрация 250 ед./мкл
Молекулярный вес (кДа) 30 000
Источник Рекомбинантный белок полученный из E. coli
Оптимальная реакционная температура 20 - 37 °С
Оптимальный реакционный буфер 50 мМ Трис-HСl, 1 мМ MgCl₂, 50 - 150 мМ NaCl, pH 8,0
Токсичность атоксичный
Условия хранения 50 мМ Трис-HCl, pH 8,0, 50 мМ NaCl, 5 мМ MgCl₂ и 50% глицерин
Температура хранения -20 °C
  • Бензаза (Бензонуклеаза), более 90%, Россия
3549.0025
3549.0025
25 000 ед.
хранение -20°C
17 340, руб.
17 340, руб. RUB
3549.0250
250 000 ед.
хранение -20°C
82 350, руб.
82 350, руб. RUB

Бензаза (бензонуклеаза) — это нуклеаза, расщепляющая все формы как ДНК, так и РНК (одноцепочечные, двухцепочечные, линейные и кольцевые). Фермент эффективен в широком диапазоне рабочих условий. Оптимальное значение pH для активности фермента составляет от 8,0 до 9,2. Бензонуклеаза гидролизует фосфодиэфирные связи, что приводит к образованию олигодезоксинуклеотидов с концевыми 5’-монофосфатами длиной 3-5 оснований.

Применение бензазы (бензонуклеазы)

Бензаза (бензонуклеаза) идеальна для широкого спектра применений, где желательно полное расщепление нуклеиновых кислот:

  • для гидролиза природных или денатурированных нагреванием ДНК и РНК;
  • для удаления нуклеиновых кислот во время экстракции белка: бензонуклеаза уменьшает вязкость образца и облегчает последующие операции по очистке рекомбинантного белка или экстракции белка из образцов клеток тканей;
  • для удаления нуклеиновой кислоты из клеточного или бактериального лизата, снижения вязкости раствора и увеличения выхода белка;
  • для удаления примесей нуклеиновых кислот из препаратов рекомбинантного белка для подготовки образцов для двумерного гель-электрофореза белков;
  • для предотвращения слипания клеток в клеточной смеси;
  • для расщепление нуклеиновых кислот для облегчения получения высококачественных телец включения перед ренатурацией нерастворимых белков;
  • для удаления загрязнения ДНК при приготовлении проб вакцины и вируса.

Единица активности бензазы (бензонуклеазы)

За единицу активности бензазы (бензонуклеазы) принимают количество фермента, превращающего 50 мкг ДНК спермы лосося в нуклеотиды за 30 минут при 37 °C в реакционном буфере: 50 мМ Трис-HСl, pH 8,0 и 1 мМ MgCl₂.


CAS No 9025-65-4
Чистота ≥ 99% (SDS-PAGE)
Концентрация 250 ед./мкл
Молекулярный вес (кДа) 30 000
Источник Рекомбинантный белок полученный из E. coli
Оптимальная реакционная температура 20 - 37 °С
Оптимальный реакционный буфер 50 мМ Трис-HСl, 1 мМ MgCl₂, 50 - 150 мМ NaCl, pH 8,0
Токсичность атоксичный
Условия хранения 50 мМ Трис-HCl, pH 8,0, 50 мМ NaCl, 5 мМ MgCl₂ и 50% глицерин
Температура хранения -20 °C

  • Бензаза (Бензонуклеаза), более 99%, Россия
G2006-250UL
хранение -20°C, транспортировка сухой лед
2 362, руб.
196 CNY
1256GR001
1256GR001
1 г
хранение -20°C
6 662, руб.
69,= EUR
1256GR010
10 г
хранение -20°C, транспортировка -20°C
38 622, руб.
400,= EUR


Синонимы: [E.C. 3.2.1.17], Мурамидаза
CAS-No. 9001-63-2
Молекулярный вес, г/моль ~14 400
Внешний вид Порошок от белого до почти белого цвета
Активность, ед/мг не менее 20 000
Вода, % не более 8
Сульфатная зола, % не более 2
Условия хранения -20 ºС
  • Лизоцим, для молекулярной биологии, NeoFroxx, Германия
953200.1 gm
953200.1 gm
1 г
хранение -20°C
1 676, руб.
20,= USD
953200.5 gm
5 г
хранение -20°C, транспортировка -20°C
7 936, руб.
96,= USD
953200.25 gm
25 г
хранение -20°C
34 913, руб.
424,= USD


CAS-No. 12650-88-3
Молекулярная масса, Дальто 14600
Внешний вид Белый порошок
Содержание основного вещества, % 99
Вода, % 9,50-10,50
Свинец, % 0,0005
  • Лизоцим из яичного белка, For Molecular Biology, CDH
3888.1000
1 кг
5 040, руб.
5 040, руб. RUB
Свиной сывороточный пепсин с ферментативной активностью более 1,5 млн. единиц предназначен для приготовления искусственного желудочного сока (ИЖС), используемого в гельминтологических исследованиях пищевых образцов в соответствии с Директивой ЕС 2075\2005.


Внешний вид однородный порошок тонкого помола желтовато-серого цвета
Запах специфический, свойственный пепсину
Массовая доля пепсина не менее 2,5 % (что соответствует не менее 100000 усл. ед по свертыванию молока)
Массовая доля влаги не более 3,0 %
Массовая доля поваренной соли не менее 85,0 %
Количество мезофильных аэробных и факультативно-анаэробных м/о в 1 г пепсина не более 10000 КОЕ/г
Бактерии группы кишечных палочек в 1 г пепсина не допускаются
Бактерии группы E.coli в 25 г пепсина не допускаются
Сульфитредуцирующие клостридии в 0,001 г пепсина не допускаются
Наличие патогенных микроорганизмов, в т.ч сальмонелл в 25 г пепсина не допускаются
  • Пепсин свиной сывороточный, Россия, 1 кг
G3411-2000U
транспортировка -20°C
35 424, руб.
2 940 CNY

Протеаза SUMO может высокоспецифично распознавать третичные структуры белка SUMO и гидролизует пептидную связь после Gly-Gly в пептиде X-Gly-Gly-X на карбоксильном конце белка SUMO.



CAS-No. 39450-01-6
Источник Escherichia coli с His-меткой
Чистота, % 95
pH 6,0-10,0
Условия хранения -20 °С
  • Протеаза SUMO (Ulp1, His-tag), рекомбинантная, 2000 е.а., Servicebio
G3409-5000U
транспортировка -20°C
21 254, руб.
1 764 CNY

Протеаза TEV представляет собой цистеиновую протеазу, которая может специфически распознавать гептапептидную последовательность Glu-Asn-Leu-Tyr. -Ph-Gln -Gly/Ser(ENLYFQG/S) и выполнять расщепление между аминокислотными остатками Gln(Q) и Gly/Ser(G/S).



CAS-No. 39450-01-6
Источник Escherichia coli
Чистота, % 95
pH от 6,0 до 9,0
Условия хранения -20 °С
  • Протеаза TEV (His-tag), рекомбинантная, 5000 е.а., Servicebio

Реактивы для индукции и проведения селекции бело-голубых колоний

Реактивы для индукции и проведения селекции бело-голубых колоний

Информация для заказа:

Пока нет данных. Перейти в каталог
Доступность
  • На складе
  • В транзите
  • В транзите и на складе
  • Все товары
1168GR001
хранение -20°C, транспортировка -20°C
По запросу
По запросу
Товар временно недоступен. Аналог: 998905.1 gm, CDH, Индия.


CAS-No. 7240-90-6
Химическая формула C₁₄H₁₅BrClNO₆
Молекулярный вес, г/моль 408,63
Содержание основного вещества, % не менее 99
ДНК-азы/РНК-азы/протеазы не обнаружены
Вода по Карлу Фишеру, % не более 1
  • Реактив X-Gal для молекулярной биологии, не менее 99%, Германия, NeoFroxx, 1 г
998905.1 gm
1 г
хранение +2...+8°C
22 930, руб.
278,= USD

X-gal, известный как 5-бром-4-хлор-3-индолил-бета-D-галактопиранозид, представляет собой хромогенный субстрат для фермента бета-галактозидазы. В процессе расщепления этого субстрата ферментом происходит отделение индольной структуры, которая затем окисляется и преобразуется в осадок синего цвета. Эта характеристика находит широкое применение в областях клеточной и молекулярной биологии.

Основное использование X-gal заключается в анализе активности гена-репортера lacZ, который кодирует бета-галактозидазу в клетках бактерий, дрожжей и животных. В растительных клетках для анализа активности используется репортерный ген GUS, с X-gal в качестве маркера активности.

Кроме того, X-gal применяется в сочетании с гликозидазными конъюгатами в качестве реагента для вторичного обнаружения в методиках иммуногистохимии и ELISA.

Благодаря тому, что бета-галактозидаза остается активной в фиксированных клетках и тканях, X-gal эффективно используется для детекции её активности.



CAS-No. 7240-90-6
Химическая формула C₁₄H₁₅BrClNO₆
Молекулярная масса, г/моль 408,63
Внешний вид Белый или светло-желтый порошок
Содержание основного вещества, % 98,0
Растворимость Растворим в диметилформамиде
Рефрактометрический индекс α20°/D -72,0° до -60,0°
Температура плавления, °С 230
Вода (К. Фишер), % 1
DNase, RNase Не обнаружено
  • X-gal (5-бром-4-хлор-3-индолил-бета-D-галактопиранозид)
1100GR001
1 г
транспортировка -20°C
По запросу
По запросу
Товар временно недоступен. Аналог: 998905.1 gm, CDH, Индия.


Синонимы: 5-Бромо-4-хлор-3-индолил-β-D-галактопиранозид.


CAS-No. 7240-90-6
Химическая формула C₁₄H₁₅BrClNO₆
Активность Не менее 1:3000
Молекулярный вес, г/моль 408,63
Содержание основного вещества, % Не менее 99
Вода (K.F.), % Не более 1
Условия хранения при температуре -20 °C
  • X-gal, для биохимии, NeoFroxx
CDH, Индия

Арабиноза-L (+), CAS 5328-37-0, 99,0%, AR

038008.25 gm
25 г
1 467, руб.
18,= USD
Синоним(ы): L(+)-Arabinose.


CAS-No. 5328-37-0
Химическая формула C₅H₁₀O₅
Молекулярная масса, г/моль 150,13
Внешний вид Белый кристаллический порошок
Содержание основного вещества, % 99,0
Рефрактометрический индекс α20°/D +102+105
Свинец, % 0,001
Вода, % 0,5

Индекс риска

Индекс риска (R)
Не опасен
  • Арабиноза-L (+), AR, 99,0%, CDH
506250.500 gm
506250.500 gm
500 г
733, руб.
9,= USD
506250.5 kg
5 кг
4 387, руб.
53,= USD
506250.25 kg
25 кг
13 838, руб.
168,= USD


Синонимы: декстроза.
CAS-No. 50-99-7
Химическая формула C₆H₁₂O₆
Молекулярная масса, г/моль 180,16
Внешний вид Белый кристаллический порошок
Содержание основного вещества, % 99,0
Специфическое вращение α20°C/D 52,5 – 53,0
Хлориды, % 0,0025
Сульфаты, % 0,0025
Сульфиты, % 0,0005
Мышьяк, % 0,0001
Медь, % 0,0001
Кальций, % 0,02
Железо, % 0,0001
Свинец, % 0,00005

Индекс риска

Индекс риска (R)
Не опасен
  • Глюкоза безводная
1179GR500
500 г
5 793, руб.
60,= EUR

Товар временно недоступен. Аналог: 506250.500 gm, CDH, Индия.



Синонимы: декстроза.
CAS-No. 50-99-7
Химическая формула C₆H₁₂O₆
Молекулярный вес, г/моль 180,16
Содержание основного вещества, % не менее 99
Вода, % не более 0,2
α20°C/D +52,5° … +53,3°
Сульфатная зола, % не более 0,1
Хлориды, % не более 0,01
Сульфаты, % не более 0,02
Сульфиты, % не более 0,001
Мышьяк, % не более 0,0001
Кальций, % не более 0,02
Свинец, % не более 0,00005

Индекс риска

Индекс риска (R)
Не опасен
  • Глюкоза-D(+) безводная, для молекулярной биологии, NeoFroxx, Германия, 500 г
1122GR005
1122GR005
5 г
хранение -20°C, транспортировка -20°C
По запросу
По запросу
1122GR025
25 г
хранение -20°C, транспортировка -20°C
По запросу
По запросу
1122GR100
100 г
хранение -20°C, транспортировка -20°C
По запросу
По запросу


Синоним: изопропил β-D-тиогалактопиранозид.
CAS-No. 367-93-1
Химическая формула C₉H₁₈O₅S
Молекулярный вес, г/моль 238,30
Содержание основного вещества, % не менее 99
Внешний вид белый кристаллический порошок
pH (5 % в воде, 20°C) 5,0-7,0
Вода, % не более 1,0
Температура плавления, °C 110-114
Специфическое вращение -25° … -33°
Диоксан, % не более 0,0001
Условия хранения, °C -20

Индекс риска

Индекс риска (R)
Не опасен
  • ИПТГ (Изопропил-бета-D-тиогалактопиранозид), для биохимии, NeoFroxx, Германия
127315.5 gm
127315.5 gm
5 г
хранение +2...+8°C
2 965, руб.
36,= USD
127315.25 gm
2 г
хранение +2...+8°C
11 803, руб.
143,= USD


CAS-No. 367-93-1
Химическая формула C₉H₁₈O₅S
Молекулярная масса, г/моль 238,30
Внешний вид Белый кристаллический порошок
Содержание основного вещества, % 98,0
Рефрактометрический индекс α20°/D -32,5...-30,5
рН 5,0-7,0
Вода (К. Фишеру), % 1

Индекс риска

Индекс риска (R)
GHS07, GHS08
  • ИПТГ (Изопропил-бета-D-тиогалактопиранозид), для биохимии, CDH
CDH, Индия

Рамноза-L, CAS 10030-85-0, AR

632785.25 gm
25 г
3 999, руб.
49,= USD


CAS-No. 10030-85-0
Химическая формула C₆H₁₂O₅.H₂O
Молекулярная масса, г/моль 182,17
Внешний вид Белый кристаллический порошок
Содержание основного вещества, % 99,0
Вода, % 9,50-10,50
Свинец, % 0,0005

Индекс риска

Индекс риска (R)
GHS07, GHS08
  • Рамноза-L, AR, CDH

Бактериологические среды и компоненты для приготовления сред

Бактериологические среды и компоненты для приготовления сред Триптон казеиновый, аминный азот ≥ 13 %, Tryptone for biochemistry, 500 г, NeoFroxx

Информация для заказа:

Пока нет данных. Перейти в каталог
Доступность
  • На складе
  • В транзите и на складе
  • Все товары
1806.0500
1806.0500
500 г
15 449, руб.
160,= EUR
1806.5000
5 кг
154 488, руб.
1 600,= EUR
1806.25000
25 кг
По запросу
По запросу
Агар изготавливается из нескольких видов красной водоросли, главным образом из Gelidium, Gracilaria и Pterocladia. Данный агар высокоочищенный с очень низким содержанием золы для применения в микробиологии и биохимии. Агар очищенный подвергается тщательному тестированию, что гарантирует его отличную воспроизводимость в биохимических, бактериологических и микологических исследованиях. Внешний вид кремовый порошок Влажность, % не более 10 Прочность геля 1,5%, г/см² 700-1200 Температура плавления, °C 80-95 Температура гелеобразования, °C 32-37,5 Прозрачность, NTU не более 8 Поглощение, 430 нм не более 0,1 Размер частиц, сито 60, % не менее 95 Зола, % не более 1,6 рН (1,5 % после автоклавирования) 5-7 рН (1,5 % перед автоклавированием) 5-7
  • Агар-агар бактериологический очищенный, Импорт
1551.0500ДУ
1551.0500ДУ
500 г
5 504, руб.
57,= EUR
1551.5000
5 кг
42 484, руб.
440,= EUR
Бульон LB по Miller богат питательными веществами и применяется для поддержания культуры E. coli. Повышенное содержание натрий хлорида. Триптон обеспечивает азотом, витаминами, минералами и аминокислотами, необходимыми для роста E. coli. Дрожжевой экстракт является источником витаминов, особенно В-группы. Натрий хлорид поддерживает необходимый осмос. Триптон, г/л 10,0 Дрожжевой экстракт, г/л 5,0 Натрий хлорид, г/л 10 рН 7,0±0,2 Растворите 25 г в 1 л дистиллированной воды, нагрейте до полного растворения, стерилизуйте в автоклаве 15 мин при 121 °C, храните при 2-8 °C.
  • Агар-агар бактериологический очищенный
3146.0250
3146.0250
250 г
По запросу
По запросу
3146.0500
500 г
6 015, руб.
62,= EUR


Бульон Terrific поддерживает продолжительный рост клеток E. coli в лог-фазе, обеспечивая высокую плотность клеток. В результате значительно повышается выход рекомбинантных белков и плазмидной ДНК. Применяется как альтернатива бульону LB. Триптон обеспечивает азотом, витаминами, минералами и аминокислотами, необходимыми для роста E. coli; дрожжевой экстракт является источником витаминов, особенно В-группы; фосфаты обеспечивают буферность системы.
Триптон, г/л 12,0
Дрожжевой экстракт, г/л 24,0
Гидрофосфат калия, г/л 12,54
Монофосфат калия, г/л 2,31
рН 7,2±0,2
Приготовление: растворите 50,8 г в 900 мл дистиллированной воды, добавьте 4 мл глицерола и доведите до конечного объема 1000 мл, нагрейте до полного растворения, стерилизуйте в автоклаве 15 мин при 121 °C, храните при 2-8 °C.
  • Агар-агар бактериологический очищенный
3132.0250
250 г
По запросу
По запросу


Бульон LB по Lennox богат питательными веществами и применяется для поддержания культуры E.coli. Триптон обеспечивает азотом, витаминами, минералами и аминокислотами, необходимыми для роста E.coli; дрожжевой экстракт является источником витаминов, особенно В-группы; натрий хлорид поддерживает необходимый осмос.
Триптон, г/л 10,0
Дрожжевой экстракт, г/л 5,0
Натрий хлорид, г/л 5,0
рН 7,0±0,2
Растворите 20 г в 1 л дистиллированной воды, нагрейте до полного растворения, стерилизуйте в автоклаве 15 мин при 121 °C, храните при 2-8 °C.
  • Агар-агар бактериологический очищенный
3133.0250
3133.0250
250 г
3 629, руб.
38,= EUR
3133.0500
500 г
6 469, руб.
67,= EUR


Среда SOC богата питательными веществами и применяется для приготовления и трансформации компетентных клеток. Триптон обеспечивает азотом, витаминами, минералами и аминокислотами, необходимыми для роста E. coli; дрожжевой экстракт является источником витаминов, особенно В-группы; натрий и калий хлорид поддерживает необходимый осмос; глюкоза поставляет необходимый энергетический ресурс для восстановления клеток после трансформации и для репликации.
Триптон, г/л 20,0
Дрожжевой экстракт, г/л 5,0
Натрий хлорид, г/л 0,5
Калий хлорид, г/л 0,186
Хлорид магния, г/л 0,96
Глюкоза, г/л 3,6
рН 7,0±0,2
Растворите 30,2 г в 1 л дистиллированной воды, нагрейте до полного растворения, стерилизуйте в автоклаве 15 мин при 121 °C, храните при 2-8 °C.
  • Агар-агар бактериологический очищенный
1612.5000
5 кг
82 430, руб.
854,= EUR
1612
500 г
11 904, руб.
123,= EUR
Продукт панкреатического расщепления казеина; содержит все аминокислоты, найденные в казеине; для приготовления сред, производства вакцин и энзимов, в фармацевтике и ветеринарии. Аминный азот, % 4,2 Общий азот, % 13,31 Потери при высушивании, % 3,3 Зола, % 6,0 рН (2% р-ра) 6,8
  • Агар-агар бактериологический очищенный
1132GR500
1132GR500
500 г
По запросу
По запросу
1132KG001
1 кг
По запросу
По запросу
1132KG005
5 кг
По запросу
По запросу
Товар временно недоступен. Аналог 343395.500 gm, CDH, Индия


Зола, % 6
Общий азот, % 13
pH (5% по воде; 25 °C) 6,5-7,5
Остаток после сжигания, % не более 17
Потери при сушке, % не более 8
  • Триптон казеиновый, аминный азот ≥13%, Tryptone for biochemistry, neoFroxx
RTR.0500
500 г
5 600, руб.
58,= EUR
CAS-No. 91079-40-2
Внешний вид порошок или пудра
Цвет кремово-белый в сухом виде; от желтоватого до янтарного в р-р
pH (5% раствор) 6,9 - 7,1
Потери при высушивании 2,5%
Кальций < 0,01
Зола 12,6%
Общий азот 12,3%
Хлориды 0,1%
Протеаза присутствует
Триптофан присутствует
Нерастворимые белки отсутствуют
Условия хранения в сухом месте при комнатной температуре
  • Триптон микробиологический, Cell Culture, Импорт
3017.0500
3017.0500
500 г
1 163, руб.
12,= EUR
3017.5000
5 кг
6 759, руб.
70,= EUR
3017.20000
20 кг
По запросу
По запросу

Производится из автолизата отборных штаммов дрожжей S. cerevisiae; ультрафильтрованный дрожжевой экстракт служит источником азота свободных аминокислот, пептидов, витаминов и микроэлементов; рекомендован при производстве культуральных сред и для диагностики. Данный экстракт полностью растворим, имеет высокий уровень азота, богат пептидами.



Внешний вид порошок
Общий азот (по сухому в-ву), % ≥ 10
Аминный азот (по сухому в-ву), % ≥ 5
pH (2% раствор) 6,8-7,2
Хлорид натрия (%) ≤ 2
Зола (%) ≤ 15
Сухое вещество (%) ≥ 94%
КМАФАнМ (КОЕ) ≤ 10000
Колиформные (БГКП) (КОЕ/100г) ≤ 30
Сальмонелла отсутствует
Свинец (ppm) ≤ 1
Мышьяк (ppm) ≤ 0,5
Ртуть (ppm) ≤ 0,5
3343.5000
5 кг
По запросу
По запросу

Товар временно недоступен. Аналог 343395.5000 g, CDH, Индия.



Растворимость в воде полностью
pH (2 % раствор) ≤ 6, 5-7,5
Потери при высушивании, % ≤ 6,0
Общий азот, % 12,5-13,5
Аминный азот, % 3,5-4,5
Соотношение общего азота к аминному AN/TN x 100 26-37
Хлорид натрия (NaCL), % ≤ 1,0
КМАФAнМ (ОМЧ)
Escherichia coli отсутствует/10 г
Salmonella отсутствует / 25
Staphylococcus aureus отсутствует/10 г
Плесени и дрожжи ≤ 20 г
  • Триптон казеиновый, аминный азот ≥ 3,5%, Angel
3343.0500
500 г
По запросу
По запросу


Растворимость в воде полностью
pH (2 % раствор) ≤ 6, 5-7,5
Потери при высушивании, % ≤ 6,0
Общий азот, % 12,5-13,5
Аминный азот, % 3,5-4,5
Соотношение общего азота к аминному AN/TN x 100 26-37
Хлорид натрия (NaCL), % ≤ 1,0
КМАФAнМ (ОМЧ)
Escherichia coli отсутствует/10 г
Salmonella отсутствует / 25
Staphylococcus aureus отсутствует/10 г
Плесени и дрожжи ≤ 20 г
  • Триптон казеиновый, аминный азот ≥ 3,5%, Диаэм/Angel

Ниже вы можете задать вопрос или оставить запрос в свободной форме:

Раскрыть анкету для отправки запроса

Ваш заказ будет обработан
в ближайшее время.
Мы пришлем уведомление, как только все будет готово. Спасибо!